高考地理试卷《人口增长与人口问题》高频试题预测(2019年最新版)(三)

时间:2019-06-29 13:35:52

微信搜索关注"91考试网"公众号,领30元,获取事业编教师公务员等考试资料40G

1、综合题  阅读下列两图,回答问题:(6分)

(1)A国人口自然增长率约为?,在A BC三国中,人口自然增长率最低的?国。
(2)与A国人口自然增长率类似的国家主要分布在
A.大洋洲? B. 非洲? C.欧洲? D.北美洲
(3)根据三角坐标图,找出B国65岁以上人口的比重约为
A. 30%? B.50%? C. 17%? D.20%
(4)分析两幅图可以看出A国的人口问题主要是
?
?


参考答案:
(1)3%? B?(2)B?(3)C(以上每空1分)
(4)人口出生率高;自然增长率快;少年儿童比例大;资源环境就业等压力(每点1分,答对两点2分)


本题解析:略


本题难度:简单



2、单选题  该图是某国人口自然增长率变化曲线图。该国人口达到顶峰的时间为

A.①
B.②
C.③
D.④


参考答案:D


本题解析:本题考查人口增长。理解③阶段,虽然图中的人口自然增长率开始下降,但仍为正数,人口数量还在增长。直到④阶段人口增长率为0,之后人口增长率为负,人口数量开始下降。


本题难度:一般



3、综合题  读“人口出生率与人均国民生产总值关系曲线图”回答:

(1)图中ABCD 四点分别表示中国、巴西、美国、坦桑尼亚(非洲)四国中的哪一个国家
A? ;B?;C?;D??
(2)发展中国家与发达国家在人口出生率和人均国民生产总值方面的特点:人口出生率_________________________________
(3)曲线说明影响人口出生率的主要因素是?
(4)中国人口出生率与发展中国家相比较?(高、低),原因是________________。


参考答案:(1)坦桑尼亚?;中国;巴西?;美国
(2)出生率发展中国家高于发达国家;人均国民生产总值发达国家高于发展中国家?
(3)经济因素?
(4)低;计划生育


本题解析:


本题难度:一般



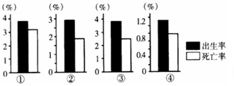
4、单选题  下图是某国从18世纪80年代到20世纪70年代人口生产类型的四个阶段示意图。按人口再生产类型的演变历程,排列正确的是
?
A.②③④①
B.①③②④
C.①②③④
D.④①②③


参考答案:B


本题解析:注意纵坐标的数值差异是解题的关键,图示①③的人口出生率高,但③的死亡率较低,故根据在历史发展过程中人口出生率不断下降,且在历史发展早期,死亡率也逐渐下降的特征判断,该地区的人口增长模式经历了①③②④的转变。
点评:本题难度一般,学生只要掌握在历史发展过程中人口出生率和死亡率的变化特征判断即可,对于此类试题,学生应加强对课本基础知识的落实。


本题难度:一般



5、单选题  读我国10-14岁和55-59岁人口比重的变化图,回答下列问题。

小题1:按照15-60岁为劳动力人口,我国劳动力人口比重最高的时段为
A.1994-1999年
B.1999-2004年
C.2004-2009年
D.2009-2014年
小题2:2014年前后,我国人口年龄结构变化带来的影响是
A.我国人口总数减少
B.人口结构年轻化
C.社会养老负担加重
D.进入人口出生低谷


参考答案:
小题1:D?
小题2:C


本题解析:此题难度不大,解题的关键是根据图中10-14岁和55-59岁人口比重的变化来确定15-60岁为劳动力人口的变化特点。
小题1:按照15-60岁为劳动力人口,我国劳动力人口比重最高的时段就是10-14岁比重开始小于55-59岁人口比重时,根据图中信息可知2009年10-14岁比重开始小于55-59岁人口比重,所以我国劳动力人口比重最高的时段为为2009-2014年。
小题2:2014年前后,我国人口年龄结构表现为老龄人口比重上升,则会导致社会养老负担加重。


本题难度:一般




首页 上页 2 3 4 下页 尾页 3/10/10
微信搜索关注"91考试网"公众号,领30元,获取公务员事业编教师考试资料40G
【省市县地区导航】【考试题库导航】
 ★ 高考省级导航 ★ 
全国 A安徽 B北京 C重庆 F福建 G广东 广西 甘肃 贵州 H河南 河北 湖南 湖北 黑龙江 海南 J江苏 江西 吉林 L辽宁 N内蒙古 宁夏 Q青海 S山东 山西 陕西 四川 上海 T天津 X新疆 西藏 Y云南 Z浙江
 ★ 高考信息汇总 ★ 
 ★ 高考历年真题 ★ 
 ★ 高考历年真题 ★ 
 ★ 高考题库 ★ 
 ★ 高考题库 ★ 

电脑版  |  手机版  |  返回顶部