高中生物高考知识点《遗传的基本规律》高频试题预测(2017年最新版)(九)

时间:2017-03-05 20:41:34

微信搜索关注"91考试网"公众号,领30元,获取事业编教师公务员等考试资料40G

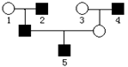
1、选择题  如下图是遗传系谱图,该病为X染色体上隐性遗传病,5号的致病基因是由?

A.1号传下来
B.2号传下来
C.3号传下来
D.4号传下来


参考答案:D


本题解析:由于该病是属于伴X染色体上隐性遗传病,所以5号的致病基因来自于其母亲,其母亲是杂合子,其致病基因只来自于4号个体,所以D选项正确。


本题难度:简单



2、选择题  下列各对性状中,属于相对性状的是
A.狗的长毛和卷毛
B.棉花的掌状叶和鸡脚叶
C.玉米叶梢的紫色和叶片的绿色
D.豌豆的高茎和蚕豆的矮茎


参考答案:B


本题解析:相对性状是指同一种生物同一性状的不同表现型 ,A是不同性状,B符合题意,C是不同性状,D是不同种生物,所以B选项正确。


本题难度:一般



3、选择题  南瓜的盘状果实由常染色体上的显性基因(G)控制,球状果实由隐性基因(g)控制。某生物兴趣小组就该对相对性状进行了杂交实验,杂交后代的统计结果如下图所示:在下列四组杂交中,其后代符合上图性状数量比例的是

A.gg(球状)× gg(球状)
B.Gg(盘状)× Gg(盘状)
C.Gg(盘状)× gg(球状)
D.GG(盘状)× gg(球状)


参考答案:B


本题解析:试题分析:从图中分析可知,杂交后代中盘状为75,球状为25,说明杂交后代发生了性状分离,比例为3:1。所以选用的亲本是Gg(盘状)× Gg(盘状),选B。
考点:基因的分离定律
点评:本题难度一般,要求学生能运用基因的分离定律分析实际问题。


本题难度:一般



4、选择题  番茄果实的红色(R)对黄色(r)是显性。RR×rr杂交,F1为红果,自交得到的F2中有30株结红果,其中基因型为Rr的植株约为
A.10株
B.15株
C.20株
D.30株


参考答案:C


本题解析:F1自交后代出现性状分离,F2中RR:Rr:rr=1:2:1,则Rr占显性中的2/3。


本题难度:困难



5、选择题  甲和乙为一对相对性状,用以进行杂交实验可以得到下列四组实验结果。若甲性状为显性,用来说明实验中甲性状个体为杂合子的实验组的组合选项是:
A.♀甲×♂乙→F1出现甲性状
B.♀甲×♂乙→F1出现乙性状
C.♀乙×♂甲→F1出现甲性状
D.♀乙×♂甲→F1出现乙性状


参考答案:BD


本题解析:具相对性状个体交配,无论正交还是反交后代只有一种相同的表型,则双亲均为纯合子,子一代为显性杂合子,若后代出现隐性性状,则显性亲本为杂合子,所以BD选项正确。


本题难度:困难




首页 上页 8 9 10 下页 尾页 9/10/10
微信搜索关注"91考试网"公众号,领30元,获取公务员事业编教师考试资料40G
【省市县地区导航】【考试题库导航】
 ★ 高考省级导航 ★ 
全国 A安徽 B北京 C重庆 F福建 G广东 广西 甘肃 贵州 H河南 河北 湖南 湖北 黑龙江 海南 J江苏 江西 吉林 L辽宁 N内蒙古 宁夏 Q青海 S山东 山西 陕西 四川 上海 T天津 X新疆 西藏 Y云南 Z浙江
 ★ 高考信息汇总 ★ 
 ★ 高考历年真题 ★ 
 ★ 高考历年真题 ★ 
 ★ 高考题库 ★ 
 ★ 高考题库 ★ 

电脑版  |  手机版  |  返回顶部