时间:2020-01-30 18:33:28
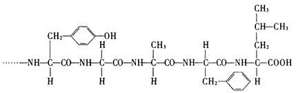
1、填空题 科学家从某人的食糜中发现有如下图所示结构的化合物,那么:
(1)这种化合物叫________,构成它的基本单位是________。若它在小肠中被水解,则不可能产生的是下列哪种物质?________。
(2)若用组成该化合物的基本单位每种各一个,重新合成新的物质,最多可形成________种。
(3)通过实验得知该化合物能与双缩脲试剂发生反应,溶液颜色呈________,这是由于化合物中含有______________(写结构式)的缘故。
(4)现有99个氨基酸(假设它们的平均相对分子质量为100),在细胞的________(细胞器)中,通过________的方式形成一条环状的多肽链。则其相对分子质量比原来减少了________,此环状的多肽链含氨基的数量最少是________个,含肽键________个。
参考答案:(1)多肽 氨基酸 D
(2)6
(3)紫色?
?
(4)核糖体 脱水缩合 1782 0 99
本题解析:
本题难度:一般
2、选择题 下面是几种物质的组成表,由表中所得结论错误的是

[? ]
参考答案:D
本题解析:
本题难度:一般
3、选择题 肉毒杆菌是一种致命病菌,在繁殖过程中分泌毒素。军事上常将这种毒素用于生化武器。人们食入和吸收这种毒素后,神经系统将遭到破坏。该毒素由两个亚单位(每个亚单位为一条链盘曲折叠而成)组成的一种生物大分子,下面是肉毒类毒素的局部结构简式,据此判断下列说法中不正确的是
[? ]
A.由结构图可知,肉毒类毒素由氨基酸组成,其化学本质是蛋白质
B.图中该片段由5种单体组成,有4个肽键
C.一分子肉毒类毒素至少含有1个氨基和1个羟基
D.高温下可使肉毒类毒素失活,主要原因是高温首先破坏蛋白质的空间结构
参考答案:C
本题解析:
本题难度:一般
4、选择题 下列关于蛋白质的论述,正确的是
[? ]
A.每种蛋白质都含有C、H、O、N、S等元素
B.每种蛋白质的分子结构中都有肽键
C.蛋白质是调节新陈代谢的唯一物质
D.酶都是蛋白质
参考答案:B
本题解析:
本题难度:简单
5、选择题 在植物受伤时,一种由18个氨基酸组成的多肽——系统素会被释放出来,与受体结合,活化蛋白酶抑制基因,抑制害虫和病原微生物的蛋白酶活性,限制植物蛋白的降解,从而阻止害虫取食和病原菌繁殖。下列关于系统素的描述正确的是
[? ]
参考答案:C
本题解析:
本题难度:一般