时间:2019-12-27 22:42:50
1、选择题 已在HIV病毒携带者体内有叫“阿尔法—防御素”的小分子蛋白质,以下对“阿尔法—防御素”的推测错误的是
[? ]
A.一定含有N元素
B.一定都含有20种氨基酸
C.高温能破坏其空间结构
D.一定都含有肽键
参考答案:B
本题解析:
本题难度:一般
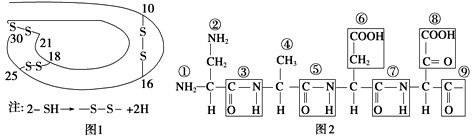
2、选择题 下面是某蛋白质的肽链结构示意图(图1,其中数字为氨基酸序号)及部分肽链的放大图(图2)。请据图判断,下列叙述中不正确的是

[? ]
参考答案:B
本题解析:
本题难度:简单
3、选择题 下列能正确表示蛋白质分子由简到繁的结构层次的一组是
①氨基酸 ②C、H、O、N等化学元素 ③氨基酸分子相互结合 ④多肽 ⑤肽链 ⑥形成具有一定空间结构的蛋白质分子
[? ]
A.①②③④⑤⑥
B.②①④③⑥⑤
C.②①④③⑤⑥
D.②①③④⑤⑥
参考答案:D
本题解析:
本题难度:一般
4、选择题 在下列物质中,有的属于构成人体的氨基酸,有的不是,若将其中构成人体的氨基酸各1个缩合成化合物,则其中含有的氨基、羧基、肽键的数目依次是
[? ]
A.3、3、2
B.4、3、3
C.2、2、2
D.3、4、2
参考答案:C
本题解析:
本题难度:一般
5、选择题 下列关于生物大分子的叙述,正确的是
[? ]
参考答案:BD
本题解析:
本题难度:一般