时间:2019-07-11 08:08:46
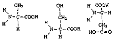
1、选择题 下列依次为丙氨酸、丝氨酸和天门冬氨酸的结构式: 由这三个氨基酸脱水缩合所的化合物中,含有的氨基、羧基和肽键的数目是
[? ]
A.1、1、3
B.3、3、2
C.1、1、2
D.1、2、2
2、选择题 现有足量的三种氨基酸,分别为A、B、C,则能形成的三肽种类以及包含三种氨基酸的三肽种类分别最多有
[? ]
A.6种,3种
B.9种,9种
C.18种,6种
D.27种,6种
3、选择题 两个氨基酸分子脱水缩合形成二肽,同时生成一分子水,该水分子中的氢来自
[? ]
A.氨基
B.羧基
C.氨基和羧基
D.连在碳原子上的氢
4、选择题 某三十九肽中共有丙氨酸(分子式是C3H7NO2)4个,现去掉其中的丙氨酸得到4条长短不等的多肽 (如图所示),下列有关叙述正确的是
[? ]
A.肽键减少8个
B.C原子减少10个
C.氨基和羧基分别增加4个
D.O原子减少1个
5、连线题 据下图回答下列问题:
(1)图中A表示________,D表示________。
(2)该化合物是由_____个氨基酸分子失去_____个分子的水形成的,这种反应叫做_____。在这个过程中,相对分子质量减少了_______。该化合物称为_______。
(3)图中表示R基团的字母是_______,表示肽键的字母是_______。
(4)图中有_____个肽键,有_____个氨基和_____个羧基。
(5)该化合物水解成氨基酸的过程中需要_______分子的水。
答案及详细解析请点下一页查看。