时间:2019-07-11 05:28:36
1、选择题 某多肽链(如下图所示)有多少个肽键
[? ]
A.369
B.120
C.119
D.99
参考答案:C
本题解析:
本题难度:一般
2、选择题 某一条多肽链内共有肽键109个,则此肽链含有-NH2和-COOH的数目至少为
[? ]
A.110,110
B.109,109
C.108,108
D.1,1
参考答案:D
本题解析:
本题难度:简单
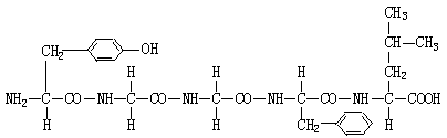
3、连线题 我国中科院上海生化所于1982年5月合成了一种具有镇痛作用而又不会像吗啡那样使病人上瘾的药物--脑啡肽,下面是它的结构简式。请根据此化合物的结构分析回答下列问题:
(1)该化合物有 __________个氨基和___________个羧基。
(2)该化合物是由_______个氨基酸失去 ______分子水而形成的,这样的反应叫作_______,该化合物叫________肽。
(3)该化合物有__________种氨基酸构成,造成氨基酸种类不同的原因是__________。
参考答案:(1)1? ?1
(2)5? 4? ?缩合反应? 五
(3)4? R基不同
本题解析:
本题难度:一般
4、选择题 蛋白质、DNA和RNA的基本组成单位依次是
[? ]
参考答案:D
本题解析:
本题难度:一般
5、选择题 下列物质中,不含肽键的是
[? ]
参考答案:C
本题解析:
本题难度:简单