时间:2019-06-22 00:03:31
1、选择题 下图表示有关蛋白质分子的概念图。下列是对图示的分析,正确的是

[? ]
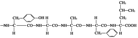
2、填空题 肉毒梭菌(厌氧性梭状芽孢杆菌)是致死性最高的病原体之一,广泛存在于自然界中。肉毒梭菌的致病性在于其产生的神经麻痹毒素,即肉毒类毒素。它是由两个亚单位(每个亚单位为一条链盘曲折叠而成)组成的一种生物大分子,1mg可毒死20亿只小鼠。煮沸1min或75℃下加热5~10min,就能使其完全丧失活性。可能引起肉毒梭菌中毒的食品有腊肠、火腿、鱼及鱼制品、罐头食品、臭豆腐、豆瓣酱、面酱、豆豉等。下面是肉毒类毒素的局部结构简式。请据此回答:
(1)肉毒类毒素的化学本质是_____________,其基本组成单位是_____________。
(2)高温可使肉毒类毒素失活的主要原理是______________。
(3)由上图可知,该片段由___________种单位组成,有__________个肽键,在形成该片段时要脱去_________分子水。
(4)一分子肉毒类毒素至少含有____________个氨基和____________个羧基,它们分别位于__________。
(5)肉毒类毒素可用____________试剂鉴定,该试剂使用方法是____________,反应颜色为___________。
3、选择题
含有215个N原子的200个氨基酸,形成了5个四肽、4个六肽和一个2条肽链构成的蛋白质分子。这些多肽和蛋白质分子中,肽键与氨基数目的最大值分别是
4、选择题 充分浸泡大豆和水稻籽粒,结果大豆种子膨胀的体积比水稻的大,原因主要是大豆种子
[? ]
A.原有的含水量比水稻小
B.种皮具有较强的渗透吸水能力
C.含蛋白质较多,亲水性较强
D.含糖类较多,细胞液浓度大
5、选择题 空间构象包括
[? ]
A.β-折叠
B.结构域
C.亚基
D.模序
E.α-螺旋
答案及详细解析请点下一页查看。