时间:2019-05-28 06:28:47
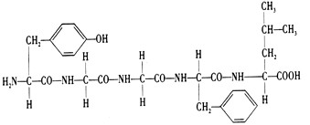
1、填空题 我国中科院上海生化研究所于1982年5月合成了一种具有镇痛作用而又不会像吗啡那样使病人上瘾的药物--脑啡肽,下面是它的结构简式:
脑啡肽的合成采用的是蛋白质工程技术,这是生物发展在分子水平上的又一突破。请根据此化合物的结构分析回答:
(1)该化合物有____个氨基和________个羧基。
(2)该化合物是由____个氨基酸失去________分子水而形成的,这样的反应叫做________,该化合物叫________肽。在形成时,相对分子质量减少了_______。
(3)脑啡肽水解产生____种氨基酸,造成氨基酸种类不同的原因是____。
2、选择题 形成蛋白质结构的层次从小到大依次是
①氨基酸 ②C、H、O、N等元素 ③氨基酸脱水缩合 ④一条或几条多肽链连接在一起 ⑤多肽 ⑥蛋白质
[? ]
3、选择题 在一般情况下,蛋白质、糖类、脂质占细胞鲜重的比例依次为7%~10%、1%~1.5%、1%~2%,每克蛋白质、糖原、脂肪氧化分解释放的能量依次约是17kJ、17kJ、39kJ,由此可以得出三者在细胞中能量代谢方面的结论是
[? ]
4、选择题 关于蛋白质结构的叙述,下列哪项是正确的
[? ]
A.多肽链的折叠、盘曲主要靠肽键来维持
B.肽单元属于二级结构
C.凡有三级结构的蛋白质均有生物活性
D.具有四级结构血红蛋白具有别构效应
E.内部氢键的形成是驱动蛋白质多肽链折叠、盘曲的主要动力
5、选择题 某多肽分子结构如图所示,下列关于该多肽叙述正确的是
[? ]
A.该多肽水解后可产生5种氨基酸
B.该多肽属于6肽化合物,含有4个肽键
C.该多肽的合成车间是核糖体
D.该多肽的分泌不需要ATP
答案及详细解析请点下一页查看。