高考化学知识点总结《酯》高频考点特训(2017年练习版)(五)

时间:2017-08-06 10:36:49

微信搜索关注"91考试网"公众号,领30元,获取事业编教师公务员等考试资料40G

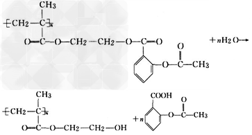
1、填空题  科学家把药物连接在高分子载体上制成缓释长效药剂。阿司匹林的结构简式为:
, 它可以连接在一个高聚物载体上,形成缓释长效药剂,其中一种药剂的结构简式为:
请回答: ?
(1)缓释长效阿司匹林的载体的结构简式为_______________。 ?
(2)服药后在人体内通过水解作用,可以缓慢地释放出阿司匹林,写出这个水解反应的化学方程式:___________________。?
(3)这种高分子载体是由单体发生聚合反应得到的,写出单体的结构简式:___________。


参考答案:(1)
(2)

(3)


本题解析:


本题难度:一般



2、选择题  将相同质量的下列物质完全酯化后,需要醋酸的量最多的是(? )


参考答案:D


本题解析:根据结构简式可知每提供1mol羟基所需要的质量是32、46、。因此相同质量这些物质完全酯化后,需要醋酸的量最多的是甘油,答案是D。


本题难度:一般



3、选择题  霉酚酸酯(MMF)是器官移植中的抑制细胞增殖最常见的药物。下列关于MMF的说法错误的是

[? ]
A.MMF不易溶于水
B.MMF能发生消去反应
C.1molMMF能与6mol氢气发生加成反应
D.1molMMF能与3molNaOH溶液完全反应


参考答案:C


本题解析:


本题难度:一般



4、选择题  莽草酸是一种合成治疗禽流感药物达菲的原料,鞣酸存在于苹果、生石榴等植物中。下列关于这两种有机化合物的说法正确的是

[? ]
A.莽草酸不能与溴水反应
B.两种酸遇三氯化铁溶液都显色
C.鞣酸分子与莽草酸分子相比多了两个碳碳双键
D.等物质的量的两种酸与足量金属钠反应产生氢气的量相同


参考答案:D


本题解析:


本题难度:一般



5、选择题  中草药秦皮中含有的七叶树内酯(),它具有抗菌作用。关于七叶树内酯的说法正确的是
A.七叶树内酯的官能团只有l种
B.1mol七叶树内酯与足量的溴水和氢氧化钠完全反应消耗3 mol Br2和4 mol NaOH
C.七叶树内酯中所有的原子一定都在同一平面 ‘
D.七叶树内酯的分子式为C9H5O4


参考答案:B


本题解析:
仔细观察该有机物的结构简式并结合已有知识,不难得知:1mol七叶树内酯可与3mol Br2?相作用,其中2mol Br2?用于酚羟基的邻位氢的取代(注:对位无氢可取代),1mol用于酯环上双键的加成,其反应原理为:

当1mol七叶树内酯与NaOH反应时,需4mol NaOH,其中3mol NaOH与酚羟基(包括水解后生成 的)作用,1mol NaOH与水解后产生的羧基发生中和反应,其反应原理为:

故B正确。


本题难度:一般




首页 上页 4 5 6 下页 尾页 5/10/10
微信搜索关注"91考试网"公众号,领30元,获取公务员事业编教师考试资料40G
【省市县地区导航】【考试题库导航】
 ★ 高考省级导航 ★ 
全国 A安徽 B北京 C重庆 F福建 G广东 广西 甘肃 贵州 H河南 河北 湖南 湖北 黑龙江 海南 J江苏 江西 吉林 L辽宁 N内蒙古 宁夏 Q青海 S山东 山西 陕西 四川 上海 T天津 X新疆 西藏 Y云南 Z浙江
 ★ 高考信息汇总 ★ 
 ★ 高考历年真题 ★ 
 ★ 高考历年真题 ★ 
 ★ 高考题库 ★ 
 ★ 高考题库 ★ 

电脑版  |  手机版  |  返回顶部