时间:2017-08-06 10:36:49
1、选择题 向三支试管中各加入6滴乙酸乙酯,然后向第一支试管中加蒸馏水5.5mL,向第二支试管中加1:5的稀硫酸0.5mL.蒸馏水5.0mL,向第三支试管中加30%的NaOH溶液0.5mL.蒸馏水5.0mL。振荡试管,把三支试管同时放在70℃~80℃的水浴中加热。几分钟后闻三支试管中液体的气味,芳香味最小的是
[? ]
A.第一支试管
B.第二支试管
C.第三支试管
D.都没有气味
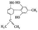
2、选择题 咖啡鞣酸具有较广泛的抗菌作用,其结构简式如下所示
关于咖啡鞣酸的下列叙述不正确的是
[? ]
A.分子式为C16H18O9
B.与苯环直接相连的原子都在同一平面上
C.1 mol咖啡鞣酸水解时可消耗8 mol NaOH
D.与浓溴水既能发生取代反应又能发生加成反应
3、填空题 科学家发现某药物M能治疗心血管疾病是因为它在人体内能释放出一种“信使分子”D,并阐明了D在人体内的作用原理,为此他们荣获了1998年诺贝尔生理学或医学奖。
请回答下列问题:
(1)已知M的相对分子质量为227,它由C、H、O、N四种元素组成,C、H、N的质量分数依次为15. 86%、2.20%和18. 50%,则M的分子式是_________。D是双原子分子,相对分子质量为30,则D的分子式为
__________。
(2)油脂A经下图所示途径可得到M。 
图中②的提示:C2H5OH+HO-NO2
C2H5O-NO2+H2O反应①的化学方程式是________________ 反应②的化学方程式是____________________。
(3)C是B和乙酸在一定条件下反应生成的化合物,相对分子质量为134,写出C所有可能的结构简式:
____________________
(4)若将0.1 mol B与足量的金属钠反应,则需消耗_______g 金属钠。
4、选择题 某有机物的结构简式为
其不可能发生的反应有
[? ]
①加成反应 ②取代反应 ③消去反应 ④氧化反应 ⑤水解反应
⑥与氢氧化钠的反应 ⑦与稀盐酸的反应
A.②③④?
B.①④⑥
C.③⑤⑦?
D.⑦
5、选择题 为实施2008北京“科技奥运”战略,兴奋剂检测生物芯片在2008年北京奥运会上首次“大显身手”。某种兴奋剂的结构简式如图所示,有关该物质的说法正确的是
[? ]
A、遇FeCl3溶液显紫色,因为该物质为苯酚的同系物
B、滴入酸性KMnO4溶液,观察紫色褪去,能证明结构中存在碳碳双键
C、1mol 该物质分别与浓溴水和H2反应时最多消耗Br2和H2分别为2mol和7mol
D、该分子中的所有碳原子可能共平面