-->

1、选择题  如图所示操作正确的是?
600)makesmallpic(this,600,1800);\' src=\"http://www_php168_com/91files/2016060 ">

高考化学知识点整理《物质的量》高频试题强化练习(2017年最新版)

时间:2017-07-27 11:14:17

微信搜索关注"91考试网"公众号,领30元,获取事业编教师公务员等考试资料40G

1、选择题  如图所示操作正确的是?
600)makesmallpic(this,600,1800);\' src=\"http://www_php168_com/91files/2016060701/yvcjmiftv24.png\" style=\"vertical-align:middle\">
A.只有②
B.②③
C.③④
D.②③④全部错误


参考答案:A


本题解析:分析:①过滤时,要注意一贴二低三靠的原则;
②根据碘易升华而氯化钠加热不挥发;
③根据浓硫酸的稀释方法进行分析判断;
④根据胶头滴管的使用方法.
解答:①过滤液体时,应通过玻璃棒引流,同时漏斗的下端紧靠烧杯内壁,故①错误;
②分离氯化钠和单质碘可用升华的方法,故②正确;
③稀释浓硫酸时,要把浓硫酸缓缓地沿器壁注入水中,同时用玻璃棒不断搅拌,以使热量及时地扩散;不能在量筒中稀释,故③错误;
④定容时胶头滴管在滴加液体时不能伸入容量瓶,故④错误;
故选A.
点评:本题难度不大,熟悉各种仪器的用途及使用注意事项、掌握常见化学实验基本操作的注意事项是解答此类试题的关键.


本题难度:一般



2、选择题  当氢气和和氦气的质量比为1∶4时,它们具有相同的
A.原子数
B.体积
C.质子数
D.中子数


参考答案:A


本题解析:氢气和氦气的摩尔质量分别是2g/mol和4g/mol,所以当氢气和和氦气的质量比为1∶4时,二者的物质的量之比是1∶2.应用氢气是由2个氢原子构成的,而氦气是由1个原子构成的,所以二者的原子数相等,选项A正确,答案选A。


本题难度:一般



3、填空题  某研究性学习小组用化学方法测量一个不规则容器的体积。把35.1 g NaCl放入500 mL烧杯中,加入150
mL蒸馏水。待NaCl完全溶解后,将溶液全部转移到容器中。用蒸馏水稀释至完全充满容器。从中取出溶液100 mL,该溶液恰好与20 mL 0.100 mol/L AgNO3溶液完全反应。则该容器的容积为_________。


参考答案:30L


本题解析:


本题难度:一般



4、选择题  实验室里需用480mL 0.1mol/L的硫酸铜溶液,现选取500mL容量瓶进行配制,以下设想合理的是(  )
A.称取7.68g?CuSO4,配成480mL的溶液
B.称取12.0g?CuSO4?5H2O,配成480mL的溶液
C.称取8.0g?CuSO4,加入500mL水
D.称取12.5g?CuSO4?5H2O,配成500mL溶液


参考答案:A、由于容量瓶的规格没有480mL,所以选择500mL容量瓶,硫酸铜的质量为0.1mol?L-1×0.5L×160g/mol=8.0g,溶液的体积是500mL,不是480mL,故A错误;
B、由于容量瓶的规格没有480mL,所以选择500mL容量瓶,需要胆矾的质量为0.1mol?L-1×0.5L×250g/mol=12.5g,溶液的体积是500mL,不是480mL,故B错误;
C、由于容量瓶的规格没有480mL,所以选择500mL容量瓶,硫酸铜的质量为0.1mol?L-1×0.5L×160g/mol=8.0g,溶液的体积是500mL,不是溶剂的体积为500mL,故C错误;
D、由于容量瓶的规格没有480mL,所以选择500mL容量瓶,需要胆矾的质量为0.1mol?L-1×0.5L×250g/mol=12.5g,加水配成500mL溶液,故D正确.
故选D.


本题解析:


本题难度:一般



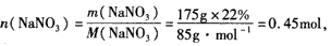
5、计算题  某温度下22%的NaNO3溶液150mL,加100g水稀释后浓度变成14%,求原150mL溶液中NaNO3的物质的量浓度。


参考答案:设原NaNO3溶液的质量为x。 根据加水前后NaNO3质量不变的规律,
得:x×22%=(x+100g)×14%, x=175g,
175g NaNO3溶液含NaNO3的物质的量为:
?600)makesmallpic(this,600,1800);\' style=\"VERTICAL-ALIGN: middle\" border=\"0\" src=\"http://www_php168_com/91files/2016060722/pq0acwhzknu.gif\">
原150mL NaNO3溶液中NaNO3的物质的量浓度为:
?600)makesmallpic(this,600,1800);\' style=\"VERTICAL-ALIGN: middle\" border=\"0\" src=\"http://www_php168_com/91files/2016060722/bglzhuyup5p.gif\">


本题解析:


本题难度:一般




微信搜索关注"91考试网"公众号,领30元,获取公务员事业编教师考试资料40G
【省市县地区导航】【考试题库导航】
 ★ 高考省级导航 ★ 
全国 A安徽 B北京 C重庆 F福建 G广东 广西 甘肃 贵州 H河南 河北 湖南 湖北 黑龙江 海南 J江苏 江西 吉林 L辽宁 N内蒙古 宁夏 Q青海 S山东 山西 陕西 四川 上海 T天津 X新疆 西藏 Y云南 Z浙江
 ★ 高考信息汇总 ★ 
 ★ 高考历年真题 ★ 
 ★ 高考历年真题 ★ 
 ★ 高考题库 ★ 
 ★ 高考题库 ★ 

电脑版  |  手机版  |  返回顶部