时间:2017-07-27 10:01:45
1、选择题 某优质甜樱桃中含有一种羟基酸(用M表示),M的碳链结构无支链,分子式为C4H6O5;1.34gM与足量的碳酸氢钠溶液反应,生成标准状况下的气体0.448L.M在一定条件下可发生如下转化M
A
B
C(M、A、B、C分子中碳原子数目相同).下列有关说法中不正确的是( )
A.M的结构简式为HOOC-CHOH-CH2-COOH
B.B的分子式为C4H4O4Br2
C.与M的官能团种类、数量完全相同的同分异构体还有1种
D.C物质可能溶于水
2、填空题 化合物G是一种医药中间体,常用于制备抗凝血药。可以通过下图所示的路线合成:
已知:RCOOH
RCOCl;D与FeCl3溶液能发生显色。
请回答下列问题:
(1)B→C的转化所加的试剂可能是_______________,CH3COCl+E→F的反应类型是_______________。
(2)有关G的下列说法正确的是________。
A.属于芳香烃
B.能与FeCl3溶液发生显色反应
C.可以发生水解、加成、氧化、酯化等反应
D.1mol G最多可以跟4mol H2反应
(3)E的结构简式为__________。
(4)F与足量NaOH溶液充分反应的化学方程式为______________________________。
(5)写出同时满足下列条件的E的同分异构体的结构简式____________________。
①能发生水解反应②与FeCl3溶液能发生显色反应③苯环上有两种不同化学环境的氢原子
(6)已知:工业上以氯苯水解制取苯酚,而酚羟基一般不易直接与羧酸酯化。苯甲酸苯酚酯(
)是一种重要的有机合成中间体。试写出以苯、甲苯为原料制取该化合物的合成路线流程图(无机原料任用)。
注:合成路线的书写格式参照如下示例流程图:
3、推断题 A为某芳香烃的衍生物,只含C、H、O三种元素,苯环上有两个取代基。? 
(1)B分子中含氧官能团的名称是________。
(2)写出符合上述条件的A的两种可能的结构简式:____________________。
(3)等量的B分别与Na、NaOH、Na2CO3反应时(无机物溶液滴加到有机物中),消耗三者物质的量之比是________。
(4)若其中一种符合上述条件的A还可发生如下变化: 
①A→F的反应类型为________。
②写出有关反应的化学方程式:
A与新制Cu(OH)2悬浊液的反应:_____________________________;
A对应的B生成D的反应:_____________________________。
4、推断题 已知:醛分子间可相互发生缩合反应,这是使碳链增长的重要方式之一,例如:
R-CHO+CH3CHO
?R-CH=CH-CHO+H2O
有机物E可分别由有机物A和C通过下列两种方法制备:
(1)有机物D的结构简式为?,反应②的反应类型是:?。
(2)写出B与NaOH水溶液共热的化学方程式?。
(3)E有多种同分异构体,其中与E具有相同官能团,且属于芳香族化合物的物质有?种。
(4)乙基香草醛
(是有机物A的同分异构体),下列说法错误的是
a.乙基香草醛能与NaHCO3溶液反应
b.乙基香草醛能与浓溴水发生取代反应
c.lmol乙基香草醛最多能与3molH2发生加成反应
d.乙基香草醛和有机物A能用FeCl3溶液来鉴别
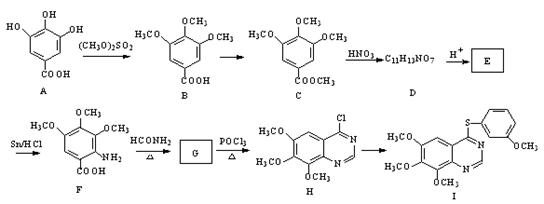
5、填空题 (15分)4-硫醚基喹唑啉类化合物是一种具有应用前景的抑菌药物,其合成路线如下:
已知:
(1)A中含氧官能团的名称是?;E→F的应类型为?。
(2) C的一种同分异构体X,X是苯的衍生物,苯环上有四个取代基,其中3个为甲氧基(-OCH3),在苯环上的位置与C相同,每摩X最多能与2 mol NaOH反应。X的结构简式为?。
(3)写出C→D的化学方程式?。
(4)物质G的结构简式为?。
(5)利用题给相关信息,以甲苯、HCONH?2?为原料,合成
。合成过程中无机试剂任选;合成路线流程图示例为:
提示: