时间:2017-07-18 02:48:28
1、简答题  请认真阅读下列3个反应:
利用这些反应,按以下步骤可以从某烃A合成一种染料中间体DSD酸.
请写出A.B.C.D的结构简式.
参考答案:由信息反应③可知,反应使用NaClO,NaClO具有强氧化性,由信息反应②可知,苯胺易被氧化,故合成路线中应先发生反应③类型的转化,后发生反应②类型的转化,故结合反应路线可知,A生成B发生硝化反应,B生成C发生反应①类型的转化,C生成D发生反应③类型的转化,D生成DSD酸发生反应②类型的转化,由DSD酸的结构,可知D为
,故C为
,B为
,A为
,
答:A的结构简式为
,B的结构简式为
,C的结构简式为
,D的结构简式为
本题解析:
本题难度:一般
2、推断题  盐酸艾司洛尔是一种常见的心脑血管药物,下图是其合成路线
已知:
I.A的相对分子质量小于140,C的结构简式为: ,E与F遇FeCl3溶液均呈
,E与F遇FeCl3溶液均呈 
II. RCHO+CH3COOH→RCH=CHCOOH+H2O
回答下列问题:
(1)有机物A的结构简式为________________,盐酸艾司洛尔的化学式为____________。
(2)B→C的反应类型为_______,C中所含官能团的名称为___________。 
(3)写出C→D中步骤①的化学反应方程式:________________。
(4)写出F在一定条件下生成高聚物的化学反应方程式:___________________。
(5)G是E的同分异构体。已知G分子中含有2个六元环;1 mol G与NaOH溶液反应时,最多消耗3 mol
NaOH;G能与浓溴水发生取代反应。写出G的一种可能的结构简式_______________。 
参考答案:(1) ;C16H26NO3Cl
;C16H26NO3Cl
 (2)取代反应;酯基和氯原子 (3)
(4)
(5) (或
(或 、
、 、
、 )
)
本题解析:
本题难度:困难
3、推断题  苯酚是重要的化工原料,通过下列流程可合成阿司匹林、香料和一些高分子化合物。已知: 

参考答案:(1)
(2)
(3)
(4)
(5)加成反应 ;消去反应
(6)A
本题解析:
本题难度:一般
4、填空题  (10分)有机化合物A~H的转换关系如下所示:
请回答下列问题:
(1)链烃A有支链且只有一个官能团,其相对分子质量为68,则A的分子式为?,结构简式是?:
(2)在特定催化剂作用下,A与等物质的量的H2反应生成E。由E转化为F的化学方程式是?;
(3)①的反应类型是?;③的反应类型是?
(4)G与金属钠反应能放出气体,由G转化为H的化学方程式是?
参考答案:(1)C5H8?
(2)
(3)加成反应?取代反应
(4)
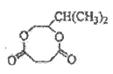
本题解析:A可以发生加成反应,说明A是烯烃或炔烃。因为 差2,所以A是炔烃或二烯烃。根据A有支链且只有一个官能团,说明A是3-甲基-1-丁炔,结构简式为
差2,所以A是炔烃或二烯烃。根据A有支链且只有一个官能团,说明A是3-甲基-1-丁炔,结构简式为 。A的加成产物E还能发生加成反应,所以E是3-甲基-1-丁烯,F是3-甲基-1,2-二溴丁烷。F水解得到G,则G是3-甲基-1,2-丁二醇。G和1,4-丁二酸发生酯化反应生成H,根据H的分子式可判断生成的酯是环酯,结构简式为
。A的加成产物E还能发生加成反应,所以E是3-甲基-1-丁烯,F是3-甲基-1,2-二溴丁烷。F水解得到G,则G是3-甲基-1,2-丁二醇。G和1,4-丁二酸发生酯化反应生成H,根据H的分子式可判断生成的酯是环酯,结构简式为 。
。
本题难度:一般
5、填空题  某种医药中间体G,常用来制备抗凝血药,其结构简式是: ?。
?。
(1)G中含氧官能团是?。
(2)下列关于G的说法正确的是?。
a.能与溴单质反应?b.能与金属钠反应
c.1 molG最多能和3 mol氢气反应? d.分子式是C9H7O3
可通过下列路线合成此医药中间体:
请回答下列问题:
(3)A与银氨溶液反应有银镜生成,则A的结构简式是?;B→C的反应类型是 ?。
?。
(4)写出F和过量NaOH溶液共热时反应的化学方程式:
?。
(5)E的结构简式是?;与D互为同分异构体且含苯环、属于酯类的有机物有?种。
参考答案:(1)羟基、酯基(写结构简式也给分)?(2分)
(2)a、b?(2分)
(3)CH3CHO?(1分)
取代反应?(1分)
 (4)
(4) ?(3分)
?(3分) (5)
(5) ?(2分)
?(2分)
3?(2分)
本题解析:略
本题难度:一般