时间:2017-07-18 02:48:28
1、填空题 (10分)化合物A(C4H10O)是一种有机溶剂。A可以发生以下变化:
⑴A、D分子中的官能团名称分别是______________、_______________。
⑵A只有一种一氯取代物B。写出由A转化为B的化学方程式:?。
⑶ A的同分异构体F也可以有框图内A的各种变化,且F烃基上的一氯取代物有三种。F的结构简式是___________________________________________。
⑷A与化合物“HQ”在一定条件下相互作用形成水与一种食品抗氧化剂“TBHQ”。已知“HQ”(C6H6O2)可以与三氯化铁溶液发生显色反应,且“HQ”的一硝基取代物只有一种,则“HQ”的结构简式为___________________________。
参考答案:⑴ 羟基?碳碳双键⑵
+Cl2
+HCl
⑶(CH3)2CHCH2OH?⑷?
?(每空2分,共10分)
本题解析:(1)根据A的分子式及性质可判断,A是丁醇,含有的官能团是羟基。在浓硫酸的作用下发生消去反应生成烯烃D,即D中含有官能团碳碳双键。D和单质溴发生加成反应生成E。
(2)A只有一种一氯取代物,说明A中除羟基外,其余氢原子完全是相同的,即A中含有3个相同的甲基,所以生成B的反应式为
+Cl2
+HCl。
(3)F也能使发生消去反应,说明与羟基碳原子相连的碳原子上含有氢原子。又因为F烃基上的一氯取代物有三种,所以F的结构简式(CH3)2CHCH2OH。
(4)与三氯化铁溶液发生显色反应,说明含有酚羟基。一硝基取代物只有一种,说明酚羟基是对位的,所以结构简式为
。
本题难度:一般
2、填空题 (12分)有机物A易溶于水,且1 mol A能跟Na反应生成0.5 mol H2,但不与NaOH反应,
已知A通过如下转化关系制得分子式为C4H8O2的酯E,且当D→E时,相对分子质量增加28,B是一种烃。
(1)写出A、B的名称和C、D 中官能团的名称
A________? B________? C_______? D ________
E物质的核磁共振氢谱有____________个峰。
(2) ①反应的条件是_________________________;
②反应的化学方程式为___________________________________________。
(3)B与HCl加成可以得到F,F也可以由A与HCl发生__________反应得到。
①由F生成A的条件为________________________。
②由F生成B的化学方程式为____________________________________________。
参考答案:(12分)
(1) 乙醇?乙烯?醛基?羧基? 3?(5分)
(2)?① 浓硫酸? 170℃?(1分)?
② 2CH3CHO+O2
2CH3COOH?(2分)
(3)?取代反应(1分)?① 氢氧化钠水溶液加热?(1分)
CH3CH2Cl+NaOH
?CH2=CH2↑+ NaCl + H2O?(2分)
本题解析:
1 mol A与Na反应生成0.5 mol H2,但不与NaOH反应,说明A为一元醇,B为醇A消去生成的烯,C为醛,D为羧酸。D与A反应生成分子式为C4H8O2的酯,则A分子中含2个碳原子。A为C2H5—OH。
反应①是乙醇制取乙烯的反应,反应条件是浓硫酸170℃;反应②是乙醛制取乙酸的反应,条件是氧气——需要催化剂或和新制的氢氧化铜溶液共热或新制的银氨溶液 。
F为一氯乙烷,乙醇可通过取代反应制取一氯乙烷;一氯乙烷制取乙醇的条件是在氢氧化钠水溶液中加热
本题难度:一般
3、填空题 (8分)有机物A、B、C的分子式均为C5H8O2,其部分结构或性质如下表:
| 有机物 | A | B | C |
| 部分结构或性质 | 五元环状化合物 | 分子中含有一个甲基,且能使溴的四氯化碳溶液褪色 | 碳链无支链,1molC发 生银镜反应时生成4 mol Ag |


参考答案:(1)
(2)
(3)NaOH溶液共热
(4)
本题解析:略
本题难度:简单
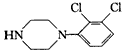
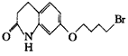
4、填空题 阿立哌唑(A)是一种新的抗精神分裂症药物,可由化合物B、C、D在有机溶剂中通过以下两条路线合成得到。
A:
B:
C:
D:
路线一:
路线二:
(1)E的结构简式为________。
(2)由C、D生成化合物F的反应类型是________。
(3)合成F时还可能生成一种相对分子质量为285的副产物G,G的结构简式为____________。
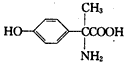
(4)H属于α-氨基酸,与B的水解产物互为同分异构体。H能与FeCl3溶液发生显色反应,且苯环上的一氯代物只有2 种。写出两种满足上述条件的H的结构简式:____________。
(5)已知:R-CHO
,写出由C制备化合物
的合成路线流程图(无机试剂任选)。合成路线流程图示例如下CH3CH2OH
CH2=CH2
________________________
参考答案:(1)
(2)取代反应
(3)
(4)
、
(5)
本题解析:
本题难度:困难
5、选择题 能将
转变为
的方法是:
A.与足量的NaOH溶液共热后,再通入CO2
B.溶液加热,通入足量的HCl
C.与稀H2SO4共热后,加入足量的NaHCO3
D.与稀H2SO4共热后,加入足量的NaOH
参考答案:AC
本题解析:根据转化可知,羧酸钠不变,但酯基发生了水解生成酚羟基。由于酸性是羧强于碳酸的,而碳酸的强于酚羟基的,则A、C均可以。B中除了生成酚羟基,还生成羧基;D中除了生成羧酸钠,还生成-ONa,答案选AC。
点评:该题是高考中的常见题型和重要的考点之一,属于中等难度的试题。试题综合性强,侧重对学生能力的培养和解题方法的指导。该题的关键是明确各种羟基的活泼性顺序,并能结合题意灵活运用即可。有利于培养学生的知识迁移能力和辑推理能力。
本题难度:简单