时间:2017-07-18 00:44:53
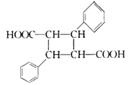
1、选择题 某药物结构简式如图,该物质1mol与足量NaOH溶液反应,消耗的NaOH物质的量为( )
A.3mol
B.4mol
C.3n?mol
D.4n?mol
参考答案:D
本题解析:
本题难度:简单
2、选择题 有-CH3,-OH,-COOH,-C6H5四种基团,两两结合而成的有机化合物中,水溶液具有酸性的有( )
A.3种
B.4种
C.5种
D.6种
参考答案:四种基团两两结合可组成形成:CH3-COOH、CH3-OH、CH3-C6H5、OH-COOH、C6H5-COOH、C6H5-OH等物质,
其中具有酸性的有CH3-COOH、OH-COOH(碳酸)、C6H5-COOH、C6H5-OH,共4种,
故选B.
本题解析:
本题难度:一般
3、填空题 光刻胶是大规模集成电路、印刷电路板和激光制版技术中的关键材料。某一肉桂酸型光刻胶的主要成分A经光照固化转变为B。 
(1)请写出A中含有的官能团_________(填两种)。
(2)A经光照固化转变为B,发生了__________反应(填反应类型)。
(3)写出A与NaOH溶液反应的化学方程式____________。
(4)写出B在酸性条件下水解得到的芳香族化合物的分子式__________________。
参考答案:(1)酯基、羰基、碳碳双键任答两种
(2)加成
(3) 
(4)
本题解析:
本题难度:一般
4、填空题 按要求填空:
(1)1mol羟基的电子数是_______;
(2)
的分子中含有_______个手性碳原子;
(3)2-甲基-1,3-丁二烯的键线式______________;
(4)
所含官能团的名称是_______;该有机物发生加聚反应后,所得产物的结构简式为______________。
参考答案:(1)9NA
(2)3 (3)
(4)碳碳双键、醛基;
本题解析:
本题难度:一般
5、选择题 下面的微粒,不属于官能团的是( )
A.
B.-Br
C.-COOH
D.-C≡C-
参考答案:A.为苯基,不属于官能团,故A选;
B.为烯烃的官能团,故B不选;
C.为羧酸的官能团,故C不选;
D.为炔烃的官能团,故D不选;
故选A.
本题解析:
本题难度:一般