时间:2017-07-18 00:44:53
1、简答题 现有A、B两种有机化合物,已知:①B分子可以看成A分子中一个氢原子被氨基取代而得到;②它们的分子中氢元素的质量分数相同,相对分子质量都不超过170,A中碳元素的质量分数为72.00%;③它们都是一取代苯,分子中都不含甲基,都含有一个羧基.
请按要求填空:
(1)A、B的分子中氢元素的质量分数都是______;B的分子式为______.
(2)A的结构简式是______;
(3)C与A互为同分异构体,分子中也没有甲基,但苯环上有两个处于对位的取代基,能发生银镜反应,也能在一定条件下发生消去反应,则C与银氨溶液反应的化学方程式是______;
(4)B有一种同分异构体D是某芳香烃发生硝化反应生成的唯一一种一硝基取代物(硝基连在苯环上),则D的结构简式是______.
参考答案:(1)因B可看成A中1个氢原子被-NH2取代得到,A、B两者碳原子、氧原子分别相等,氢元素百分含量相等,所以设A的摩尔质量为M,A中氢原子个数为a,则aM×100%=a+1M+15×100%,得到:M=15a,所以A中w(H)=aM×100%=a15a×100%=6.67%,所以A中w(O)=1-72%-6.67%=21.33%,
A中C:H:O=72%12:6.67%1:21.33%16=9:10:2,所以A分子式为(C9H10O2)x,因Mr(A)<170,所以x=1,即分子式为C9H10O2,故B的分子式为C9H11NO2,
故答案为:6.67%,C9H11NO2;
(2)有机物A的分子式为C9H10O2,有机物A为一取代苯,分子中不含甲基,含有一个羧基,故A的结构简式为:
,故答案为:
;
(3)C与A互为同分异构体,分子中也没有甲基,但苯环上有两个处于对位的取代基,能发生银镜反应,含有-CHO或-OOCH,能在一定条件下发生消去反应,应含有醇羟基,故C含有的基团为-CHO、-CH2CH2OH,故C的结构简式为
,与银氨溶液反应的化学方程式是:
+2Ag(NH3)2OH△
本题解析:
本题难度:一般
2、选择题 近年来食品安全问题成为社会各界日益关注的焦点话题.香港地区食环署食物安全中心曾对十五个桂花鱼样本进行化验,结果发现十一个样本中含有孔雀石绿.孔雀石绿是化工产品,具有较高毒性,高残留,且长期服用后,容易致癌、致畸,对人体有害.其结构简式如图所示.下列关于孔雀石绿的说法正确的是( )
A.孔雀石绿的分子式为C23H25N2
B.1mol孔雀石绿在一定条件下最多可与6molH2发生加成反应
C.孔雀石绿属于芳香烃
D.孔雀石绿苯环上的一氯取代物有5种
参考答案:D
本题解析:
本题难度:一般
3、填空题 已知-NH2连在苯环上显碱性,
连在苯环上显中性,化学式为C7H7NO2的有机物中其分子结构中有一个苯环,两个侧链(间位),符合下列酸碱性条件的结构简式为:
(A)既有酸性又有碱性________。
(B)只有酸性_________。
(C)只有碱性_________。
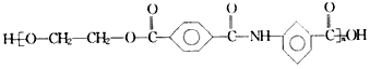
(D)显中性_________。由于-COOH能跟-NH2形成
,所以可用乙二醇、对苯二甲酸跟上述既显酸性又显碱性的物质发生反应,生成高分子化合物[(C17H13NO5)n]。该化合物为高强度纤维材料,其结构简式为_______。
参考答案:(A)
(B)
(C)
(D)
;
本题解析:
本题难度:一般
4、简答题 现有分子式均为C3H6O2的四种有机物A、B、C、D,且分子中均含甲基,把它们分别进行下列实验以鉴别之,其实验记录如下:
NaOH溶液
银氨溶液
新Cu(OH)2
金属钠
A
中和反应
溶解
产生氢气
B
有银镜
加热后有红色沉淀
产生氢气
C
水解反应
有银镜
加热后有红色沉淀
D
水解反应
则A、B、C、D的结构简式分别为:
A______,B______,C______,D______.
参考答案:A能与NaOH发生中和反应且能溶解Cu(OH)2,说明含有-COOH,应为CH3CH2COOH;B能发生银镜反应,说明含有-CHO,能与Na发生生产氢气,说明含有-OH,应为CH3CHOHCHO或
CH2OHCH2CHO;C能发生水解,且能发生银镜反应,说明含有-OOCH,为甲酸酯,应为HCOOCH2CH3;D能水解,含有酯基,应为CH3COOCH3,
故答案为:CH3CH2COOH;CH3CHOHCHO;HCOOCH2CH3;CH3COOCH3.
本题解析:
本题难度:一般
5、选择题 有下列四种有机物对此四种有机物的有关说法正确的是( )
A.四种有机物都是芳香族化合物
B.四种有机物都能发生水解
C.四种有机物中,环上一氯代物布洛芬的种类最多
D.等物质的量的四种有机物与NaOH溶液反应,阿司匹林消耗NaOH物质的量最多
参考答案:A、莽草酸不含苯环,不属于芳香族化合物,其它3种属于,故A错误;
B、阿司匹林含有酯基能发生水解反应,其它物质不含能水解的基团,不能水解,故B错误;
C、阿司匹林苯环由4种氢原子,其一氯代物就有4种,其余的两个一氯代物有2种,故C错误;
D、酚羟基、酯基、羧基均能和氢氧化钠发生反应,假设有机物的物质的量均为1mol,对羟基桂皮酸消耗氢氧化钠2mol,布洛芬消耗氢氧化钠1mol,莽草酸消耗氢氧化钠1mol,阿司匹林消耗氢氧化钠3mol,故阿司匹林最多,故D正确.
故选D.
本题解析:
本题难度:一般