高考化学试题《物质的量》试题强化练习(2017年最新版)(九)

时间:2017-02-02 06:45:52

微信搜索关注"91考试网"公众号,领30元,获取事业编教师公务员等考试资料40G

1、填空题  同温同压下,有0.3molO2与0.2molO3,它们的质量之比为         ,它们所含的原子数之比为      ,它们的体积之比为       ,它们的密度之比为      


参考答案:1:1 ,  1:1 , 3:


本题解析:
试题分析:根据PV=nRT可以一一推导。根据阿伏伽德罗定律及推论可知:在相同条件下,气体的体积之比等于物质的量之比;密度之比等于摩尔质量之比
考点:阿伏伽德罗定律及推论。


本题难度:一般



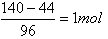
2、选择题  现有44g Mg、Al、Zn、Fe多种活泼金属粉末的混合物与1L含有一定质量的20%硫酸溶液恰好完全反应,得到无水盐140g,则下列说法正确的是

A.电子转移为1mol
B.生成的气体体积(标准状况)为22.4 L

C.硫酸溶液的质量为540g
D.硫酸物质的量浓度为2mol/L


参考答案:B


本题解析:根据质量差可知,参加反应的硫酸是,所以生成氢气是1mol,标准状况下的体积是22.4L,B正确;A不正确,应该是转移2mol电子;C不正确,硫酸溶液的质量应该是98g÷0.2=490g;D不正确,硫酸的浓度是1mol/L的,答案选B。


本题难度:一般



3、简答题  某工厂用FeCl3溶液腐蚀镀有铜的绝缘板生产印刷电路.课外活动小组为确认生产后的废液的组成,进行如下实验:
Ⅰ.取50mL废液稀释配成250mL溶液.
Ⅱ.从250mL稀释溶液取25mL加入足量的AgNO3溶液,生成不溶于硝酸的沉淀8.61g.
Ⅲ.另从250mL稀释溶液取25mL放入铜片充分反应,铜片质量减少了0.256g.
(1)操作I是配制物质的量浓度溶液,所用到的玻璃仪器除烧杯、玻璃棒外,还必须有______、______.(填仪器名称)
(2)下列操作可能使所配溶液浓度偏小的是______(填写序号).
①未洗涤烧杯和玻璃棒
②定容时俯视容量瓶的刻度线
③配溶液前容量瓶中有少量蒸馏水
④摇匀后,发现液面低于刻度线后继续加水至凹液面与刻度线相切
(3)操作Ⅱ中检验沉淀是否已经洗涤干净的操作是______.
(4)原废液中氯离子的物质的量浓度是______.
(5)原废液中三种阳离子浓度比值c(Fe3+):c(Fe2+):c(Cu2+)为______.


参考答案:(1)一定规格的容量瓶只能配制相应体积的溶液,容量瓶应选择2


本题解析:


本题难度:简单



4、选择题  设NA为阿伏加德罗常数的数值,下列说法中正确的是
A.电解精炼粗铜时,每转移NA个电子,阳极溶解32g铜
B.1L0.1mo1·L-1的氨水中含OH-离子数为0.lNA个
C.常温常压下,a mo1O2与2a mo1NO混合,降温得到混合气体中氧原子数小于4aNA
D.在反应5NH4NO32HNO3+4N2↑+9H2O中,每生成4molN2,转移电子数为15NA


参考答案:D


本题解析:
试题分析:A.电解精炼粗铜时,每转移NA个电子,阳极除了铜放电,还有其他金属放电,溶解要小于32g铜; B.一水合氨属于弱电解质,1L0.1mo1·L-1的氨水中含OH-离子数要远远小于为0.lNA个;C.常温常压下,a mo1O2与2a mo1NO混合,即4molO,氧原子数等于4aNA;


本题难度:一般



5、选择题  8g NaOH固体溶于水配成1000 mL溶液,取出其中的10 mL,该10 mL NaOH溶液的物质的量浓度为
A.1 mol?L-1
B.0.5 mol?L-1
C.0.25 mol?L-1
D.0.2 mol?L-1


参考答案:D


本题解析:8g NaOH固体为0.2mol,溶于水配成1L溶液,此时的浓度为0.2 mol?L-1,在此溶液中取出10ml溶液,浓度不变,仍为0.2 mol?L-1,故选D


本题难度:一般




首页 上页 8 9 10 下页 尾页 9/10/10
微信搜索关注"91考试网"公众号,领30元,获取公务员事业编教师考试资料40G
【省市县地区导航】【考试题库导航】
 ★ 高考省级导航 ★ 
全国 A安徽 B北京 C重庆 F福建 G广东 广西 甘肃 贵州 H河南 河北 湖南 湖北 黑龙江 海南 J江苏 江西 吉林 L辽宁 N内蒙古 宁夏 Q青海 S山东 山西 陕西 四川 上海 T天津 X新疆 西藏 Y云南 Z浙江
 ★ 高考信息汇总 ★ 
 ★ 高考历年真题 ★ 
 ★ 高考历年真题 ★ 
 ★ 高考题库 ★ 
 ★ 高考题库 ★ 

电脑版  |  手机版  |  返回顶部