时间:2025-06-26 00:58:37
1、推断题 已知
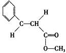
(注:R,R"为烃基),A为有机合成中间体,在一定条件下发生消去反应,可能得到两种互为同分异构体的产物,其中的一种B可用于制取合成树脂、染料等多种化工产品。A能发生如下图所示的变化。试回答: 
(1)写出符合下述条件A的同分异构体的结构简式(各任写一种): a.具有酸性________;b.能发生水解反应_________。
(2)A分子中的官能团是____,D的结构简式是____。
(3)C→D的反应类型是____,E→F的反应类型是____(填写相应字母)。
a.氧化反应
b.还原反应
c.加成反应
d.取代反应
(4)写出化学方程式:A→B___________ 。
(5)写出E生成高聚物的化学方程式_________ 。
(6)C的同分异构体C1与C有相同官能团,两分子C1脱去两分子水形成含有六元环的C2,写出C2的结构简式:________。
参考答案:(1)CH3CH2CH2COOH ;CH3CH2COOCH3
(2)羟基,醛基 ; CH3COCH2COOH
(3)a;bc
(4)CH3CH(OH)CH2CHO
CH3CH=CHCHO+H2O
(5)nCH3CH=CHCH2OH 

(6)
或
本题解析:
本题难度:一般
2、选择题 以2010年诺贝尔化学奖获得者的名字命名的赫克反应、根岸反应和铃木反应已成为化学家们制造复杂化学分子的“精致工具”,在科研、医药和电子等领域已经广泛应用。下例生成物就是由铃木反应合成出来的一种联苯的衍生物:(?)
下列叙述正确的是?(?)
A.该反应为加成反应,且原子利用率达100%
B.该联苯的衍生物属于芳香烃
C.该联苯的衍生物苯环上的一硝基取代产物有5种
D.该联苯的衍生物不可使溴水褪色
参考答案:C
本题解析:
分析:A.溴原子被另一个苯环上的基团取代;
B.芳香烃中只有一个苯环;
C.根据对称来分析一硝基取代;
D.该物质中含有醛基,能被溴水氧化.
解:A.溴原子被另一个苯环上的基团取代,则发生的是取代反应,故A错误;
B.芳香烃中只有一个苯环,该物质中含有两个苯环,则不属于芳香烃,故B错误;
C.由对称可知一硝基取代有
,一硝基取代产物有5种,故C正确;
D.该物质中含有醛基,能被溴水氧化,则该联苯的衍生物可使溴水褪色,故D错误;
故选C.
本题难度:一般
3、推断题 美日三名化学家[理查德·赫克(Richard Heck,美)、根岸荣一(Ei - ich Negishi,日)、铃木章(Akira Suzuki,日)] 利用钯( Pd)作催化剂,将有机化合物进行“裁剪”、“缝合”,创造出具有特殊功能的新物质而荣获2010年诺贝尔化学奖。赫克反应(Heck反应)的通式可表示为(R-X中的R 通常是不饱和烃基或苯环;R"CH=CHR通常是丙烯酸酯或丙烯腈等): 
现有A、B、C、D等有机化合物有如下转化关系
请回答下列问题:
(1)反应I的化学方程式为____________________
(2)已知腈基(-C
N)也具有不饱和性(可催化加氢),写出CH2=CH-CN完全催化加氢的化学方程式:
____________________
(3)丙烯腈(CH2=CH-CN)可发生加聚反应生成一种高聚物,此高聚物的结构简式为________________。
(4)写出B转化为C的化学方程式:____________________
(5)D的结构简式为(必须表示出分子的空间构型)____________
(6)D所具有的化学性质有(填编号)____。
A.加热能与氢氧化钠溶液反应
B.能使溴的四氯化碳溶液褪色
C.能发生缩聚反应和加聚反应
D.能使酸性高锰酸钾溶液褪色
(7)已知:醛基直接与苯环连接的醛如
不能被新制的氢氧化铜氧化。写出同时符合下列条件的D 的同分异构体的结构简式:________________。
①波谱分析显示分子中没有甲基;
②1,3,5-三取代苯;
③具有酸性,既能与Fe3+作用显色,又能使溴水褪色,易被新制的氢氧化铜氧化
参考答案:(1)
(2)CH2=CH-CN+3H2
CH2CH2CH3NH2
(3)
(4)CH2=CH-COOH+CH3OH
CH2=CH-COOCH3+H2O
(5)
(6)ABD
(7)
本题解析:
本题难度:困难
4、简答题 已知:RCH2Cl+NaOH→RCH2OH+NaCl
有机物E和F可用作塑料增塑剂或涂料的溶剂,它们的分子量相等.可以用下列方法合成.
(1)写出B的结构简式______,由B和D生成F的反应类型是:______.
(2)写出下列反应的化学方程式:
①A+C→E:______;
②CH2=CH2→D______.
(3)E和F的相互关系是______
A、同一种物质B、同一类物质C、同系物D、同分异构体.
参考答案:由题给信息可知B为
,氯代烃在碱性条件下水解生成醇,A应为
,乙烯与水发生加成反应生成D为CH3CH2OH,C为CH3COOH,则E为
,
(1)由以上分析可知B为
,与D发生酯化反应生成F,故答案为:
;酯化;
(2)A为
,C为CH3COOH,二者发生酯化反应生成
,反应的方程式为
,乙烯和水反应生成乙醇,
反应的方程式为CH2=CH2+H2O催化剂
本题解析:
本题难度:简单
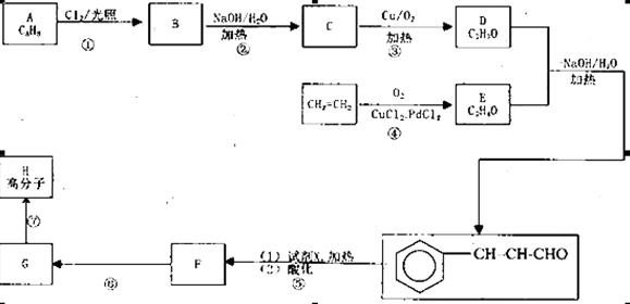
5、推断题 [化学一选修5:有机化学基础1(15分)
相对分子质量为162的有机化合物G常用作香精,分子中C、H、O原子个数比为5:5:1。以甲苯为原料合成G的路线如下:

试回答下列问题:
(1)F的结构简式为_________,C中含氧官能团的名称是_________。
(2)试剂X的名称可能是__________。
(3)反应①~⑦中属于取代反应的是_________(填反应代号,下同),属于加成反
应的是__________,属于氧化反应的是_________。
(4)完成下列化学方程式:
C→D:_____________________________________________________。
F→G:_____________________________________________________。
(5)写出符合下列条件的G的同分异构体
a.分子内含苯环,核磁共振谱图有三个峰,其面积之比为2:2:1。
b.在一定条件下,l mol该物质与足量银氨溶液充分反应,生成4mol银单质。
参考答案:(1)
?(2分)?羟基 (1分)
(2)银氨溶液(或新制Cu(OH)2悬浊液)?(2分)
(3)①②⑥?⑦?③④⑤ (每空1分)
(4)
(2分)
?
+ CH3OH?
+ H2O?(2分)
(5)
?(3分)
本题解析:(1)相对分子质量为162的有机化合物G常用作香精,分子中C、H、O原子个数比为5:5:1,则G的分子式为C10H10O2,且为酯类;所以F是苯丙烯醛发生氧化反应的产物,所以F的结构简式为
;由已知得D、E属于醛,所以C为醇,氧化得醛,C中的官能团是羟基;
(2)试剂X应是与醛发生氧化反应的试剂,为银氨溶液(或新制Cu(OH)2悬浊液);
(3)根据反应条件及产物的结构判断①是甲苯的取代反应,②是水解反应,③④⑤是氧化反应,⑥是酯化反应,⑦是加聚反应;
(4)C是苯甲醇,被氧化成苯甲醛D,化学方程式为
;相对分子质量为162的有机化合物G常用作香精,分子中C、H、O原子个数比为5:5:1,则G的分子式为C10H10O2,且为酯类;G是F的反应产物,F是
,所以F与甲醇反应是G,化学方程式为
+ CH3OH?
+ H2O?
(5)在一定条件下,l mol该物质与足量银氨溶液充分反应,生成4mol银单质,说明G的同分异构体分子中存在2个醛基,而且有3种氢原子,则该分子是对称分子,所以符合条件的G的同分异构体的结构简式为
。
本题难度:一般