时间:2025-06-26 00:58:37
1、填空题 以烯烃为原料,合成某些高聚物的路线如下:
已知:
(或写成
)
(1)CH3CH=CHCH3的名称是_______________。
(2)X中含有的官能团是___________________。
(3)A→B的化学方程式是__________________。
(4)D→E的反应类型是_______________。
(5)甲为烃,F能与NaHCO3反应产生CO2。
①下列有关说法正确的是_______________。?
A.有机物Z能发生银镜反应
B.有机物Y与HOCH2CH2OH互为同系物
C.有机物Y的沸点比B低
D.有机物F能与己二胺缩聚成聚合物
②Y的同分异构体有多种,写出分子结构中含有酯基的所有同分异构体的结构简式____________。
③Z→W的化学方程式是__________________。
(6)高聚物H的结构简式是_________________。
参考答案:
(1)2-丁烯
(2)碳碳双键?氯原子
(3)ClCH2CH2CH2CH2Cl +2NaOH
?CH2=CH—CH=CH2+ 2NaCl+2H2O。
(4)消去反应
(5)①A D
② HCOOCH2CH2CH3? HCOOCH(CH3)2?CH3COOCH2CH3 CH3CH2COOCH3
③
(6) 
本题解析:(1)CH3CH=CHCH3的名称是2-丁烯。(2)CH3CH=CHCH3与Cl2在光照条件下发生饱和C原子上的取代反应产生X:CH2ClCH=CHCH2Cl.因此在X中含有的官能团为碳碳双键和氯原子。(3)X与H2在Ni作催化剂的条件下发生加成反应得到A:1,4--二氯丁烷CH2ClCH2CH2CH2Cl 。A与NaOH的乙醇溶液加热发生消去反应ClCH2CH2CH2CH2Cl +2NaOH
?CH2=CH—CH=CH2+ 2NaCl+2H2O。得到B:1,3--丁二烯CH2=CH-CH=CH2。B与乙烯发生加成反应生成
?,
与Br2的CCl4溶液发生加成反应得到D:1,2-二溴环己烷
。(4)D与NaOH的乙醇溶液发生消去反应得到E:环己二烯
。E发生加聚反应得到
。(5)X(CH2ClCH=CHCH2Cl)与NaOH的水溶液发生取代反应产生Y:CH2(OH)CH=CHCH2OH;Y与O2在Cu作催化剂的体积下醇羟基发生氧化反应得到Z:OHCCH=CHCHO。Z与甲反应的产物W与氢气在Ni作催化剂的条件下发生加成反应产物为
。则烃甲为2-甲基-1,3-丁二烯
;W为:
。1,4--二甲苯被酸性高锰酸钾溶液氧化为F:对苯二甲酸,F再与
发生酯化反应得到高聚物H:
。①A. 有机物Z OHCCH=CHCHO中含有醛基,因此可以发生银镜反应。正确。B. 有机物Y CH2(OH)CH=CHCH2OH与HOCH2CH2OH尽管都含有2个醇羟基,但前者有他他他双键,后者没有,因此不是同系物。错误。C.有机物Y CH2(OH)CH=CHCH2OH的沸点比B:1,3--丁二烯CH2=CH-CH=CH2的相对分子质量大。相对分子质量越大,物质的熔沸点就越高。因此Y的沸点比B的高。错误。D.有机物F对苯二甲酸含有两个羧基,己二胺含有两个氨基,因此二者能发生缩聚反应产生聚合物。正确。②CH2(OH)CH=CHCH2OH有多种同分异构体,其中分子结构中含有酯基的所有同分异构体有HCOOCH2CH2CH3; HCOOCH(CH3)2 ;CH3COOCH2CH3;CH3CH2COOCH3。③Z→W的化学方程式是
。(6)高聚物H的结构简式为
本题难度:困难
2、简答题 下列是以芳香烃A为原料制备扁桃酸的流程图.
请回答下列问题:
(1)A的结构简式为______,D中官能团的名称是______.
(2)C中碳原子______(填“能”或“不能”)共面,产物B的结构简式可能有两种,分别为______.
(3)写出下列反应的化学方程式:
E→F:______;
G→H:______.
(4)上述转换中属于加成反应的是______填序号).
(5)设计实验证明物质B含有氯元素______.
参考答案:A和氯气发生取代反应生成B,B能和氢氧化钠的醇溶液发生消去反应生成C,则说明A含有支链是乙基而不是两个甲基,则A的结构简式为
,C中结构简式为
,C和溴发生加成反应生成D,D的结构简式为:
,D和氢氧化钠的水溶液发生取代反应生成E,E的结构简式为:
,E被氧气氧化生成F,F的结构简式为:
,F被氢氧化铜氧化生成G,G的结构简式为
,G和氢气发生加成反应生成H,H的结构简式为
.
(1)通过以上分析知,A的结构简式为
,D的结构简式为
,所以D中含有的官能团名称是溴原子,
故答案为:
;溴原子;
(2)C的结构简式为:
,乙烯中所有原子共面,苯分子中所有原子共面,C中的苯相当于代替了乙烯中的氢原子,所以苯乙烯中所有碳原子能共面,A发生一氯取代反应时,支链上取代位置有两种,所以B的结构简式有两种,分别为:
,
故答案为:能;
;
(3)E→F反应方程式:
,
G→H反应方程式:
故答案为:
,
;
(4)通过以上分析知,属于加成反应的是③⑦,故答案为:③⑦;
(5)要想检验B中含有氯元素,必须使B中的氯元素转化为易溶于水且易电离的氯化物,然后用硝酸酸化的硝酸银溶液检验氯离子,如果有白色沉淀则证明含有氯元素,否则不含氯元素,操作方法是:取适量的物质B与氢氧化钠水溶液混合加热,待反应完全后冷却混合溶液至室温,先后加入稍过量的硝酸溶液、硝酸银溶液,如果有白色沉淀析出则明确B中含有氯元素,
故答案为:取适量的物质B与氢氧化钠水溶液混合加热,待反应完全后冷却混合溶液至室温,先后加入稍过量的硝酸溶液、硝酸银溶液,如果有白色沉淀析出则明确B中含有氯元素.
本题解析:
本题难度:一般
3、填空题 (14分)乙醇是一种重要的化工原料。
(1)葡萄糖在酒化酶的作用下转化为乙醇的化学方程式是?。
(2)常温常压下,23g乙醇完全燃烧生成二氧化碳和水时放热680kJ,则表示该反应的热化学方程式是?。
(3)香豆素是一种用途广泛的香料,它可以利用乙醇和B通过以下途径合成,其中B的分子式为C7H6O2。
①D的结构简式是?;
②完成下列化学方程式:
E在一定条件下发生加成聚合反应:?;E→香豆素:?;
③B有多种同分异构体,其中苯环上只有一个侧链的所有同分异构体的结构简式是
?;
④有关香豆素的说法正确的是?(填字母)。
a.只能与溴单质发生加成反应,不能发生取代反应
b. 1mol香豆素可与5molH2发生加成反应
c. 1mol香豆素可与2molNaOH发生反应
d. 1mol香豆素完全燃烧消耗9.5molO2
参考答案:(1)C6H12O6
2C2H2OH+2CO2↑
(2)C2H5OH(l)+3O2(g)=2CO2(g)+3H2O(l)△H=—1360kJ/mol
(3)
本题解析:略
本题难度:一般
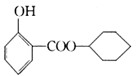
4、填空题 酚是重要的化工原料,通过下列流程可合成阿司匹林、香料和一些高分子化合物。已知: 

(1)写出C的结构简式____。
(2)写出反应②的化学方程式________。
(3)写出G的结构简式____。
(4)写出反应⑧的化学方程式________。
(5)写出反应类型:④____⑦____。
(6)下列可检验阿司匹林样品中混有水杨酸的试剂是________。
a.三氯化铁溶液
b.碳酸氢钠溶液
c.石蕊试液
参考答案:(1)
(2)
(3)
(4)
(5)加成反应;消去反应
(6)a
本题解析:
本题难度:一般
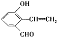
5、填空题 从樟科植物枝叶提取的精油中含有下列甲、乙、丙三种成分:





参考答案:(1)羟基
(2)加成反应;
(3)①c;②
;③
(或其他答案合理即可);④
本题解析:
本题难度:一般