时间:2025-06-25 21:18:58
1、选择题 已达电离平衡的0.1mol/L的醋酸溶液中,为提高醋酸的电离程度,同时使溶液的pH值降低,应采取的措施是
[? ]
A. 加一定量水
B. 加热
C. 加入盐酸
D. 加入冰醋酸
参考答案:B
本题解析:
本题难度:一般
2、选择题 把0.05 mol NaOH固体,分别加入下列100 mL溶液中,溶液的导电能力变化不大的是
[? ]
A.自来水
B.0.5 mol·L-1盐酸
C.0.5 mol·L-1醋酸
D.0.5 mol·L-1NH4Cl溶液
参考答案:BD
本题解析:
本题难度:一般
3、填空题 物质A—E都是由下表中的离子组成的,常温下各物质从l mL稀释到1000 mL,pH的变化如图l所示,其中A与D反应得到E。请回答:
(1)根据图1中各物质的pH变化关系,写出下列物质的化学式:B.?,D.?。
(2)图l中a>9的理由是?。
(3)另取浓度为C1的B溶液25 ml,向其中逐滴滴加0.2 mol/L的D溶液,滴定过程中溶液pH的变化曲线如图2所示。
①C1为 ?。
②G点溶液呈中性,则加入D溶液的体积V?(填“>”、“<’’或“=”)12.5 mL;
③常温下B、C溶液的pH分别是a、b且a+b=13,则将B、C混合恰好完全反应时所消耗B、C溶液的体积比VB:VC=?。
参考答案:(1)NaOH? CH3COOH
(2)A是氨水,稀释时,平衡向电离的方向移动,溶液中OH?的浓度没有下降到原来的千分之一
(3)①0.1mol?L?1?② > ③10:1
本题解析:(1)根据图象知A、B是碱,C、D是酸,稀释后A、D的pH变化小于3,B、C的pH变化等于3,则A是弱碱、B是强碱,C是强酸,D是弱酸,根据离子知,A是氨水、B是氢氧化钠、C是盐酸、D是醋酸。
(2)NH3?H2O为弱碱,存在电离平衡,加水稀释促进一水合氨电离,导致溶液中氢氧根离子浓度大于原来的千分之一。
(3)①根据图2可知NaOH溶液的pH为13,c(NaOH)=10?14÷10?13=0.1mol?L?1
②醋酸钠是强碱弱酸盐,其溶液呈碱性,要使醋酸和氢氧化钠混合溶液呈中性,则醋酸应该稍微过量,所以V>12.5mL。
③NaOH与HCl恰好完全反应,则VB?(10?14÷10?a)= VC?10?b,可得VB?:VC =1014-a-b=10:1
本题难度:一般
4、选择题 下列图像表达正确的是? (? ) 

A.图①表示25 ℃时,用0.1 mol/L盐酸滴定20 mL 0.1mol/L氨水
B.图②表示常温下,等量锌粉分别与两份足量的等体积等浓度的盐酸反应
C.图③表示向CaCl2溶液中通入CO2
D.图④表示向醋酸溶液中滴入氨水
参考答案:D
本题解析:A.因为氨水为弱碱,20mL 0.1mol/L氨水的PH小于13.
B.Zn与HCl的反应方程式为Zn+2HCl
ZnCl2+H2?,而CuSO4与Zn的反应方程式为
CuSO4+Zn
ZnSO4+Cu,生成的Cu并不能和HCl反应,故生成的氢气应该比没加硫酸铜的少。
C.CO2加入到CaCl2溶液中,先生成CaCO3固体,故刚开始的质量不为0.
D.在醋酸中加入氨水,发生反应NH3+CH3COOH====CH3COONH4,NH3·H2O和CH3COOH是弱电解质而铵盐是强电解质,所以,导电能力增强。反应完全后,随着弱电解质氨水的加入,溶液被稀释,导电能力又下降,最后稳定但不为0。
点评:此题用图像的方法,考核了学生对弱酸弱碱反应对PH、导电能力等的掌握。
本题难度:简单
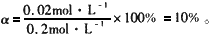
5、计算题 25℃时,在0.5L 0.2mol·L-1的HA溶液中,有 0. 01mol的HA电离成离子。求该温度下HA的电离平衡常数和电离度。
参考答案:由题意列出下式:
HA
H++A-
c初始(mol·L-1) 0.2 ,0 ,0
△c(mol·L-1) 0.02 ,0.02 ,0.02
c平衡(mol·L-1) 0.18 ,0.02 ,0. 02
故HA的电离平衡常数为
电离度
本题解析:
本题难度:一般