时间:2021-06-11 05:44:38
1、填空题 以原油为原料生成聚烯烃的步骤如下
试回答:
(1)含有10个氢原子的烷烃的分子式为_____________;
(2)C4~C10的烃类混合物含有_____________(填“等于”、“少于”或“多于”)7种不同的物质。
(3)由乙烯、丙烯等烯烃生产聚乙烯、聚丙烯等聚烯烃的反应属于_____________反应。
参考答案:(1)C4H10
(2)多于
(3)聚合或加聚
本题解析:
本题难度:一般
2、推断题 有机物A为烃类化合物,A的质谱图中最大质荷比为70,其相关反应如下图所示,其中B、D、E的结构中均含有2个—CH3,它们的核磁共振氢谱中均出现4个峰。
请回答:(1)D的分子式为___?___;
(2)B中所含官能团的名称为__?____;
(3)Ⅲ的反应类型为___?___(填字母序号);
a.还原反应? b.加成反应?c.氧化反应? d.消去反应
(4)写出下列反应的化学方程式:
Ⅰ:?;
Ⅱ:?;
C和E可在一定条件下反应生成F,F为有香味的有机化合物,该反应的化学方程式为
?;
(5)A的同分异构体中有一对互为顺反异构,且结构中有2个—CH3,它们的结构简式为
?和?;
(6)E有多种同分异构体,其中能发生碱性水解的有___种;E的另一种同分异构体能发生银镜反应,能与足量金属钠生成氢气,不能发生消去反应,其结构简式为?
参考答案:(1)C5H10O(1分) (2)溴原子(1分)?(3)a、b (1分)?
(4) 各2分,共6分
I:
II:

(5)
?
?(各1分,共2分)?
(6)9?
?各2分,共4分
本题解析:有机物A为烃类化合物,A的质谱图中最大质荷比为70,说明A中的分子式为C5H10,有图可以看出A为烯烃,B、D、E的结构中均含有2个—CH3,它们的核磁共振氢谱中均出现4个峰,说明有4中不同化学环境的氢原子,所以A为
,B为
,C为
,D为(CH3)2CHCH2CHO,E为
,所以(1)D的分子式为)C5H10O;(2)B中所含官能团的名称为溴原子;(3)Ⅲ为醛被还原加成成为醇的过程;(4)Ⅰ和Ⅱ的反应的化学方程式分别为:
、
,C含有羟基,E含有羧基,两者可以发生酯化反应,所以生成F的化学方程式为:
;(5)A的同分异构体中有一对互为顺反异构,且结构中有2个—CH3,这两种物质的结构简式分别为
、
;(6)E有多种同分异构体,其中能发生碱性水解的为酯类物质,一共有9种,E的另一种同分异构体能发生银镜反应,说明含有醛基,能与足量金属钠生成氢气,说明含有羟基,不能发生消去反应,说明与羟基所连接的碳原子的相连碳原子没有氢原子,所以其结构简式为
。
点评:本题考查了有机合成,涉及考查了有机反应的类型、官能团的性质、有机反应方程式的书写、同分异构体等知识,该题综合性较强,有一定的难度。
本题难度:一般
3、推断题 以下由A→G的合成路线叫做“Krohnke反应”:
A物质中与苯环相连的“-CH2X”叫做“苄基”。
请回答下列问题:
(1)物质A在酸性KMnO4溶液中两个侧链均可被氧化,其有机产物的名称叫做____;把A与NaOH水溶液共热,所得到的有机产物的结构简式为__________;
(2)反应②产物中D物质的化学式为____;用足量的H2还原吡啶,所得的产物的结构简式为___________________;
(3)物质G与银氨溶液反应的化学方程式为____________? ___________。
(4)物质A与烧碱溶液共热的反应类型属于__?__反应,产物B的水溶性为__________(填“可溶于水”或“不溶于水”);
(5)对比问题(1)的两个反应,“Krohnke反应”在有机合成中的作用是?__。
参考答案:(16分)(1)对苯二甲酸?
?(2)HX?
(3)
(4)取代(或水解)?可溶于水
(5)在对苄基氧化时保护苯环侧链烃基(1分);同时,使苄基在反应中既不会被彻底氧化,又不会水解(1分,前后各为得分点)
本题解析:(1)由于-CH3被氧化为-COOH、-CH2X也被氧化为-COOH,则A被酸性高锰酸钾溶液氧化为对苯二甲酸;A的官能团是卤素原子,与NaOH水溶液共热时卤代烃发生水解反应或取代反应,有机产物和无机产物分别是对甲基苯甲醇、NaX;(2)根据质量守恒定律可知,D的化学式为HX;吡啶的结构与苯相似,在一定条件下1个苯分子与3个H2分子发生加成反应,生成只有单键的环几烷,则1个吡啶分子与3个H2分子发生加成反应,生成只有单键且含有N–H键官能团的环状产物,N–H键不能省略;(3)由于CH3CHO+2Ag(NH3)2OH
CH3COONH4+2Ag↓+3NH3+H2O,G也含有醛基,由此可类比可以仿写出化学方程式;(4)A属于卤代烃,与烧碱溶液共热发生水解反应或取代反应;B是阴阳离子构成的离子化合物,由此推断B可溶于水;(5)(1)问中苯环上两个侧链都被彻底氧化为羧基(-COOH),而Krohnke反应中甲基未被氧化,而被保护,只有苄基被氧化为醛基(-CHO),且不能彻底氧化为羧基(-COOH);苄基在NaOH水溶液中共热时发生水解反应,而在Krohnke反应中不会发生水解反应。
本题难度:一般
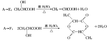
4、推断题 化合物A最早发现于酸牛奶中,它是人体内糖代谢的中间体,可由马铃薯、玉米淀粉等发酵制得。A的钙盐是人们喜爱的补钙剂之一。A在某种催化剂的存在下被氧化,其产物不能发生银镜反应。在浓硫酸存在下, A可发生如下所示的反应。

参考答案:(1)A:
;B
;
(2) 
(3)消去反应(或脱水反应);酯化反应(或取代反应)
本题解析:
本题难度:一般
5、填空题 用石油裂化和裂解过程得到的乙烯、丙烯来合成丙烯酸乙酯的路线如下:
有机物A + 有机物 C → CH2=CHCOOCH2CH3(丙烯酸乙酯)
根据以上材料和你所学的化学知识回答下列问题:
(1)由CH2=CH2制得有机物A的化学反应类型是:??;
(2)丙烯醛[ CH2═CH CHO ]中含有的官能团:?(填名称);
(3)A与C合成丙烯酸乙酯的化学反应方程式是:
_________________________________________________________________;
该反应的类型是??反应。
参考答案:(1)加成反应;?(2)醛基、碳碳双键;?
(3)CH2═CH COOH+CH3CH2OH
CH2=CHCOOCH2CH3+H2O
取代反应或酯化反应。
本题解析:A和C发生酯化反应的生成物是丙烯酸乙酯,说明A是乙醇,C是丙烯酸。乙烯中含有碳碳双键,能和水发生加成反应,生成乙醇A。丙烯醛中含有醛基,能被氧化生成丙烯酸。
本题难度:一般