时间:2021-02-18 05:18:33
1、选择题 下列说法中不正确的是?
[? ]
A.有机化学是研究有机物的组成、结构、性质、制备方法与应用的科学
B.凡是自然界存在的或不存在的有机物都能运用化学方法将它们合成出来
C.迄今为止,人类发现和合成的有机物已超过3 000万种
D.有机物参与的反应,都比较复杂,速率较慢,且常伴有副反应
参考答案:D
本题解析:
本题难度:简单
2、选择题 分析阿斯匹林的结构,推知阿斯匹林属于烃的衍生物中的( )
A.羧酸类
B.醇类
C.醛类
D.酯类
参考答案:AD
本题解析:
本题难度:简单
3、选择题 某有机物X在酸性条件下能发生水解反应,水解产物为Y和Z.同温同压下,相同质量的Y和Z的蒸气所占体积相同,X可能是( )
A.乙酸丙酯
B.甲酸乙酯
C.乙酸甲酯
D.乙酸乙酯
参考答案:AB
本题解析:
本题难度:简单
4、实验题 某化学小组以苯甲酸为原料制取苯甲酸甲酯。有关物质的沸点和相对分子质量如表:
I.合成苯甲酸甲酯粗产品
在烧瓶中加入12.2g苯甲酸和20mL甲醇(密度约0.79g/mL) ,再小心加入3mL 浓硫酸,混匀后,投入几粒碎瓷片,小心加热使反应完全,得苯甲酸甲酯粗产品。
(1)该反应中浓硫酸的作用?,若反应产物水分子中有同位素18O,写出能表示反应前后18O位置的化学方程式?,甲醇过量的原因?。?
(2)如果加热一段时间后发现忘记加碎瓷片,应该采取的正确操作是??。
(3)甲、乙、丙三位同学分别设计了如图三套实验室制取苯甲酸甲酯的装置(夹持仪器和加热仪器均已略去)。根据有机物的特点,最好采用?装置(填“甲”、“乙”、“丙”)。
Ⅱ.粗产品的精制
(4)苯甲酸甲酯粗产品中往往含有少量甲醇、硫酸、苯甲酸和水等,现拟用下列流程图进行精制,请根据流程图填入恰当操作方法的名称:操作I为?,操作II为?。
(5)以上流程图中加入Na2CO3溶液后,放入分液漏斗中振荡、静置,要得到有机层,其具体操作是?。
(6)苯甲酸甲酯的产率为?。
参考答案:(1)催化剂和吸水剂,
该反应是可逆反应,甲醇比苯甲酸价廉,且甲醇沸点低,易损失,增加甲醇的量,可提高产率
(2)冷却后补加
(3)乙
(4)分液;蒸馏
(5)将分液漏斗上口的玻璃塞打开(或使塞上的凹槽对准漏斗口上的小孔),再旋开分液漏斗活塞,用锥形瓶接收下层液体,待下层液体刚好流尽时关闭活塞,将有机层从分液漏斗上口倒入另一干净的容器(或烧杯)中
(6)65 %
本题解析:(1)甲醇和苯甲酸在浓硫酸作催化剂的条件下加热发生酯化反应得到苯甲酸甲酯和水。由于浓硫酸有吸水性,吸收反应产生的水,使酯化反应的平衡正向移动,可以提高反应物的转化率及产品的产率。所以在该反应中浓硫酸的作用是作催化剂和吸水剂。酯化反应的实质是酸脱羟基醇脱氢。所以该反应的化学方程式为
。甲醇要过量是因为该反应是可逆反应,甲醇比苯甲酸价廉,且甲醇沸点低,易损失,增加甲醇的量,可提高产率。(2)如果加热一段时间后发现忘记加碎瓷片,应该停止加热,冷却至室温,后再补加。
(3)甲虽然采用了冷却装置,但甲醇已经脱离了反应体系,对提高反应物的利用率不利,丙没有冷却降温装置,会导致一部分反应物及产物挥发逸出,无论是对环境还是对产品的制取都不利。而乙把甲、丙的优点集结在一起,既减少了反应物的挥发消耗,也提高了产品的产率。故选择乙装置。
(4)苯甲酸甲酯粗产品中往往含有少量甲醇、硫酸、苯甲酸和水等,先加入水可以溶解硫酸,再加入饱和的Na2CO3溶液,既可以反应消耗苯甲酸,也可以降低苯甲酸甲酯的溶解度。由于它们是互补相容的液体,因此可常用分液的方法分离。在分液得到的有机物中因为甲醇与苯甲酸甲酯的沸点不同,将它们通过蒸馏分离开来。
(5)分液的具体操作是:将分液漏斗上口的玻璃塞打开(或使塞上的凹槽对准漏斗口上的小孔),再旋开分液漏斗活塞,用锥形瓶接收下层液体,待下层液体刚好流尽时关闭活塞,将有机层从分液漏斗上口倒入另一干净的容器(或烧杯)中。
(6)n(苯甲酸)="m/M=12.2g" ÷122g/mol=0.1mol;n(甲醇)=(20×0.79g) ÷32g/mol="15.8g÷32g/mol" =0.494mol。苯甲酸的物质的量不足,应该以苯甲酸为标准来进行计算。n(苯甲酸甲酯)=" m/M=8.84g÷" 136g/mol="0.065mol." 苯甲酸甲酯的产率为(0.065mol÷0.1mol)×100%="65" %
本题难度:一般
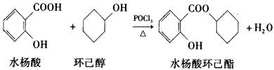
5、选择题 水杨酸环己酯具有花香气味,可作为香精配方。其合成路线如下:? 
下列说法正确的是
A.水杨酸的核磁共振氢谱有4个峰
B.水杨酸、环己醇和水杨酸环己酯都能与FeCl3溶液发生显色反应
C.1 mol水杨酸跟浓溴水反应时,最多消耗2 mol Br2
D.1 mol水杨酸环己酯在NaOH溶液中水解时,最多消耗3 mol NaOH
参考答案:C
本题解析:
本题难度:一般