时间:2021-02-18 05:18:33
1、选择题 利尿酸在奥运会上被禁用,其结构简式如图所示。下列叙述正确的是

2、实验题 实验室用右图所示的装置制取乙酸乙酯。
(1)在大试管中配制一定比例的乙醇、乙酸和浓硫酸的混合液的方法是:将______________________________,然后轻轻振荡试管,使之混合均匀。
(2)装置中通蒸气的导管要插在饱和Na2CO3溶液的液面上,不能插入溶液中,目的是防止Na2CO3溶液的倒吸。造成倒吸的操作上的原因是______________________________。
(3)浓硫酸的作用是:
①_______________________________________________________________。
②_______________________________________________________________。
(4)饱和Na2CO3溶液的作用是:______________________________________。
(5)实验生成的乙酸乙酯,其密度比水_________ (填“大”或“小”),有_________气味。
(6)若实验中温度过高,使反应温度达到140 ℃左右时,副反应的主要有机产物是_________ (填物质名称)。
3、选择题 下列关于苯乙酸丁酯的描述不正确的是(?)
A.分子式为C12H16O2
B.有3种不同结构的苯乙酸丁酯
C.既能发生加成反应,又可发生取代反应
D.在酸、碱溶液中都能发生反应
4、选择题 有关下图所示化合物的说法不正确的是
[? ]
A.既可以与Br2的CCl4溶液发生加成反应,又可以在光照下与Br2发生取代反应
B.1?mol该化合物最多可以与3?mol?NaOH反应
C.既可以催化加氢,又可以使酸性KMnO4溶液褪色
D.既可以与FeCl3溶液发生显色反应,又可以与NaHCO3溶液反应放出CO2气体
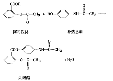
5、选择题 贝诺酯是由阿司匹林、扑热息痛经化学法拼合制备的解热镇痛抗炎药,其合成反应式(反应条件略去)如下
下列叙述错误的是
[? ]
A.FeCl3溶液可区别阿司匹林和扑热息痛
B.1mol阿司匹林最多可消耗2 molNaOH
C.常温下贝诺酯在水中的溶解度小于扑热息痛
D.C6H7NO是扑热息痛发生类似酯水解反应的产物