时间:2020-08-13 07:27:39
1、选择题 已知短周期元素的离子aA2+、bB+、cC3—、dD—?都具有相同的电子层结构,则下列叙述正确的是(?)
A.原子半径 A> B> D> C
B.原子序数 d > c> b> a
C.离子半径 C> D> B> A
D.单质的还原性 A> B> D> C
2、选择题 短周期元素X、Y、Z、W,它们的原子序数依次增大。X与Z同主族,并且原子序数之和为20。Y原子的质子数为Z原子的质子数的一半,W原子的最外层电子数比Y原子的最外层电子数多2个。下列叙述正确的是
A.原子半径Z>W>Y>X
B.Y的最高价氧化物对应的水化物可与其气态氢化物发生化合反应
C.气态氢化物的稳定性Z>W
D.X的气态氢化物与足量W单质在光照条件下反应生成物均为气体
3、填空题 甲元素的原子序数是19,乙元素原子核外有两个电子层,最外电子层上有6个电子;丙是元素周期表第ⅠA族中金属性最弱的碱金属元素。由此推断:
(1)甲元素在周期表中位于第________周期;乙元素在周期表中位于第________族;丙元素的名称为________。
(2)甲的单质与水反应的离子方程式为____________________________;
乙单质与丙单质反应的化学方程式为______________________________。
4、选择题 寻找优良的半导体材料,应在周期表的哪个位置寻找
A.s区
B.p区
C.d 区
D.ds区
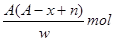
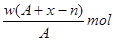
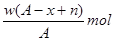
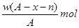
5、选择题 某元素原子的质量数为A,它的阴离子Xn-核外有x个电子,w克这种元素的原子核内中子数为?
A.
B.
C.
D.