时间:2020-07-28 05:35:56
1、填空题 已知烯烃中碳碳双键在某些强氧化剂作用下 易发生断裂,因而在有机合成中有时需要对其进行 保护,保护的方法常常是使烯烃生成二溴代物,然后 用Zn粉在乙烯存在下使二溴代物再转变为烯烃,其过程可简单表示如下: 又知烯烃中的C=C键在酸性条件下才能与水发生加成反应。觋欲以石油产品丙烯及必要的无机试剂为原料合成丙烯酸(CH2=CH-COOH),
设计第一步反应为 CH2=CH-CH3+Cl2
CH2=CH-CH2Cl + HCl。请运用你学过的知识及上述信息,补写出从丙烯制取丙烯酸的其余各步反应方程式(注明必要的反应条件)_____________。
2、填空题 (16分)已知具有
结构的有机物可被酸性高锰酸钾溶液氧化成二元醇,如:CH2=CH2
HOCH2CH2OH,现以M(
)为原料合成环状化合物F和高分子化合物E和G。
(1)有机物M的名称为?;C中的官能团名称是?;
A→B的反应类型是?。
(2)①B→C的化学方程式?。
②B→F的化学方程式?。
③两分子B之间发生酯化反应除生成酯F外,还可能生成另外一种酯,该酯的结构简式为?。
④D→E的化学方程式?。
(3)分子式为C9H10O2的芳香族化合物,属于酯类且只有一个侧连的同分异构体有
?种,请写出任意两种的结构简式?。
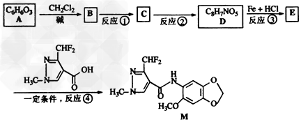
3、推断题 据报道,化合物M对番茄灰霉菌有较好的抑菌活性,其合成路线如下图所示。

完成下列填空:
(1)写出反应类型。反应③___________?反应④__________
(2)写出结构简式。A______________?E__________________
(3)写出反应②的化学方程式。____________
(4)B的含苯环结构的同分异构体中,有一类能发生碱性水解,写出检验这类同分异构体中的官能团(酚羟基除外)的试剂及出现的现象。试剂(酚酞除外)_____________?现象____________________
(5)写出两种C的含苯环结构且只含4种不同化学环境氢原子的同分异构体的结构简式。
________________________
(6)反应①、反应②的先后次序不能颠倒,解释原因。
________________________
4、填空题 A、B两种有机物均是有机合成的中间体,其中A的分子式为C4H7O2Br,B分子中含2个氧原子,其燃烧产物n(CO2) : n(H2O)=2:1,质谱图表明B的相对分子质量为188。A和B存在如下转化关系:


5、推断题 有机物A~G的转化关系如下图所示。其中A是一元环状化合物,其核磁共振氢谱上只有1个峰;F的核磁共振氢谱上有3个峰,峰面积比为2∶2∶3;G是一种合成橡胶和树脂的一种重要原料。
已知:(R为烃基)?Ⅰ.
Ⅱ.RCOOH
RCH2OH
请回答以下问题:
(1)C中所含官能团的名称是?;反应④的反应类型是___________________。
(2)若E在一定条件下发生缩聚反应生成高分子化合物,写出其中两种的结构简式:
_____________________________、_____________________________。
(3)反应②的化学方程式为?。
(4)反应⑥的化学方程式为________________________________________________________。
(5)有机物Y与E互为同分异构体,而且具有相同的官能团种类和数目,写出所有符合条件的Y的结构简式:_____________________________________________________。