时间:2020-07-28 05:35:56
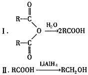
1、推断题 G是一种合成橡胶和树脂的重要原料;A是一种五元环状化合物,其核磁共振氢谱上只有一个峰;F的核磁共振氢谱上有3个峰,峰面积之比为2:2:3。已知(其中R是烃基) 
有关物质的转化关系如下图所示,请回答以下问题。 
(1)C中所含官能团的名称是________;④的反应类型是________ 反应。
(2)G的结构简式是____________________
(3)反应②的化学方程式为________________________
(4)若E在一定条件下发生缩聚反应生成高分子化合物,写出其中两种的结构简式:_________________
?(5)反应⑥的化学方程式为____________________
(6)有机物Y与E互为同分异构体,且具有相同的官能团种 类和数目,写出所有符合条件的Y的结构简式:________________
参考答案:(l)羧基;消去
(2)CH2=CHCH=CH2
(3)HOOCCH=CHCOOH +H2
HOOCCH2CH2COOH
(4)
(5)HOOCCH2CH2COOH + 2CH3CH2OH
CH3CH2OOCCH2CH2COOCH2CH3+2H2O
(6)
本题解析:
本题难度:一般
2、填空题 已知有机分子中烯键可以在一定的条件下发生臭氧分解反应,例如:?
,某有机物A的化学式是
,它可以在一定条件下合成一种感光性高分子材料,该材料在微电子工业上具有重要用途.
请回答:
(1) 指出下列反应的反应类型.反应II_____________;反应III_____________.
(2) 根据上述信息判断A中含有的官能团(或名称)______________________________.
(3) 写出下列物质的结构简式:C?;D______________.
(4) 写出反应III的化学反应方程式(必须用结构简式表示):
____________________________________________________________________________
参考答案:(1) 取代反应(1分) 加成反应(1分)
(2)
(2分)? (3)
(2分)
?
(2分)
(4)?(3分)
本题解析:略
本题难度:简单
3、选择题 有机物A和B的分子中都有2个碳原子,室温时A为气体,B为液体,A在一定条件下可以直接转化为C,将B的蒸气通过灼热的氧化铜,产生红色固体,同时生成C.则3种物质可以是( )
A.A是CH2=CH2,B是CH3CHO,C是CH3CH2OH
B.A是CH≡CH,B是CH3CH2OH,C是CH3CHO
C.A是CH3CHO,B是CH2=CH2,C是CH3CH2OH
D.A是CH3CH2OH,B是CH3CH3,C是CH≡CH
参考答案:有机物A和B的分子中都有2个碳原子,B为液体,将B的蒸气通过灼热的氧化铜,产生红色固体,B含有羟基-OH,同时生成C,故C含有羟基-CHO,室温时A为气体,A在一定条件下可以直接转化为C,炔与水加成可以直接生成醛,故A为CH≡CH,所以C为CH3CHO,B为CH3CH2OH,
故选A.
本题解析:
本题难度:简单
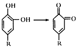
4、填空题 刚切开的苹果,不久果肉的颜色就会变成褐色,即苹果的“褐变”。对此现象,有多种说法。其说法之一是果肉里的酚在空气中转变为二醌(如图所示),这些二醌很快聚合成为咖啡色的聚合物。试回答
(1)若该说法正确,则图中变化的反应类型_______(填序号);
a.氧化反应 b.还原反应 c.加成反应 d.取代反应
(2)若上述酚类物质R基为-CH=CHCH3,如果苯环上的取代基与苯环直接相连的碳原子上有氢原子,不论取代基多长,在一定条件下都被氧化成羧基。请设计如图转化的方案:_______________________; 
(3)B与乙醇反应的化学方程式是_______________;
(4)写出属于酯类物质且水解后得到苯酚的A的同分异构体(任写一种)_____________
参考答案:(1)a
(2)先用羧酸和该物质酯化,再氧化,后在酸性条件下水解 (3)
(4)
本题解析:
本题难度:一般
5、填空题 利用从冬青中提取出的有机物A合成抗结肠炎药物Y及其他化学品,合成路线如下图:
根据上述信息回答:
(1)D不与NaHCO3溶液反应,D中官能团的名称是______,B
C的反应类型是____。
(2)①写出A生成B和E的化学反应方程式?。下
②写出D与足量银氨溶液反应的化学方程式?。
③写出G生成H的化学反应方程式?。
(3)A的同分异构体I和J是重要的医药中间体,在浓硫酸的作用下I和J分别生产
,鉴别I和J的试剂为?。
(4)A的另一种同分异构体K用于合成高分子材料,K可由
制得,写出K在浓硫酸作用下生成的聚合物的结构简式_______________
参考答案:(1)醛基?取代反应
(2)①
②略
③略
(3)
或溴水
(4)
本题解析:略
本题难度:简单