时间:2019-07-04 02:03:25
1、简答题 请根据官能团的不同对下列有机物进行分类.
(1)芳香烃:______;?(2)卤代烃:______;
(3)醇:______;?(4)酚:______;
(5)醛:______;?(6)酮:______;
(7)羧酸:______;?(8)酯:______.
2、选择题 阿魏酸在食品、医药等方面有着广泛用途。一种合成阿魏酸的反应可表示为 
下列说法正确的是
[? ]
A.可用酸性KMnO4溶液检测上述反应是否有阿魏酸生成
B.香兰素、阿魏酸均可与Na2CO3、NaOH溶液反应
C.通常条件下,香兰素、阿魏酸都能发生取代、加成、消去反应
D.与香兰素互为同分异构体,分子中有4种不同化学环境的氢,且能发生银镜反应的酚类化合物共有2种
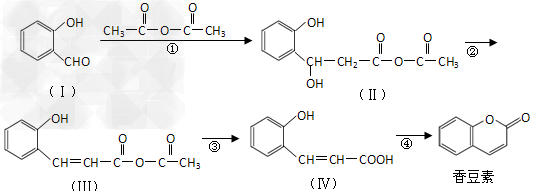
3、填空题 香豆素是用途广泛的香料,合成香豆素的路线如下(其他试剂、产物及反应条件均省略): 
(1)Ⅰ的分子式为_____________;Ⅰ与H2反应生成邻羟基苯甲醇,请写出其反应方程式(不需注明条件)______________________。
(2)反应②的反应类型是_____________,反应④的反应类型是_____________。
(3)香豆素在过量NaOH溶液中完全水解的化学方程式为 __________________?。
(4)Ⅴ是Ⅳ的同分异构体,Ⅴ的分子符合下列要求:中含有苯环且无碳碳双键,苯环上含有两个邻位取代基,能发生银镜反应。Ⅴ的结构简式为_______________(任写一种)。
(5)一定条件下,?
与CH3CHO能发生类似反应①、②的两步反应,最终生成的有机物的结构简式为_____________。
4、选择题 某酯
与H218O反应的产物是
[? ]
A.
+?R"OH
B.
+?R"OH
C.
+?R"18OH
D.
+?R"18OH
5、选择题 对羟基扁桃酸是农药、药物、香料合成的重要中间体,它可由苯酚和乙醛酸在一定条件 下反应制得。
下列有关说法不正确的是
[? ]
A.上述反应的原子利用率可达到100%
B.在核磁共振氢谱中对羟基扁桃酸应该有6个吸收峰
C.对羟基扁桃酸可以发生加成反应、取代反应和缩聚反应
D.lmol对羟基扁桃酸与足量NaOH溶液反应,消耗3mol NaOH