时间:2019-07-04 02:03:25
1、选择题 已知Ka是平衡常数,PKa=-lgKa

有关如图所示的有机物说法不正确的是
[? ]
A.分子式为C9H15NO3S
B.具有较强的还原性
C.易跟H2发生加成反应
D.1mol最多跟含3molNaOH的溶液发生反应
参考答案:C
本题解析:
本题难度:一般
2、选择题 化学式为C8H16O2的有机物A在酸性条件下能水解生成C和D,且C在一定条件下能转化为D,则有机物A的结构可能有(?)
A.1 种
B.2 种
C.3 种
D.4 种
参考答案:B
本题解析:略
本题难度:简单
3、选择题 我国科学工作者合成了许多结构复杂的天然有机化合物,如:叶绿素、血红素、维生素B等。叶绿素的结构如图所示,下列有关叶绿素的说法正确的是 
[? ]
A.叶绿素属于高分子化合物
B.叶绿素分子中含有两种类型的双键
C.叶绿素不属于芳香烃
D.在一定条件下,叶绿素能发生加成、水解、酯化等反应
参考答案:C
本题解析:
本题难度:一般
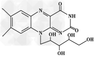
4、选择题 核黄素又称为维生素B2,可促进发育和细胞再生,有利于增进视力,减轻眼睛疲劳。核黄素分子的结构为
已知: CONH+H2O
COOH+NH2
有关核黄素的下列说法中,不正确的是
[? ]
A.该化合物的分子式为C17H22N4O6
B.酸性条件下加热水解,有CO2生成
C.酸性条件下加热水解,所得溶液加碱后有NH3生成
D.能发生酯化反应
参考答案:A
本题解析:
本题难度:一般
5、填空题 (本题共10分)有机物M(C15H16O8)在酸性溶液中水解得A、B、C三种物质,A在170 ℃与浓硫酸混合加热,可得到一种具有催熟果实作用的气体D,A在一定条件也可以氧化成C。请回答下列问题:
(1) 300多年前,著名化学家波义耳发现了铁盐与B的显色反应,并由此发明了蓝黑墨水。用B制造墨水主要利用了?类化合物的性质。(填代号)
A.醇? B.酚? C.酯? D.羧酸?
(2) M与NaOH反应的方程式是?。 ?
(3) B与丙醇反应得到的酯具有抗氧化作用,是目前广泛应用的食品添加剂.其结构简式为?;C的同分异构体有(包括C)?种。
(4)写出由A生成D的化学反应方程式:?
参考答案:(1)B?(2) 
C15H16O8+7NaOH
?+ CH3CH2OH? +? 3CH3COONa?
(3)
?、 4? (4)CH3CH2OH
CH2CH2+H2O
本题解析:由“A在170 ℃与浓硫酸混合加热,可得到一种具有催熟果实作用的气体D”,可知A为乙醇,“A在一定条件也可以氧化成C”,说明C是乙醛或乙酸,根据B中的官能团可知C不是乙醛而是乙酸。再根据M中的碳原子数和B中—OH、—COOH数目可知M是由B与1分子乙醇、3分子乙酸形成的酯,即M中有4个酯基(3分子乙酸与B的3个酚羟基形成3个酯基,1分子乙醇与B的1个—COOH形成1个酯基),依此可解答试题:(1)是利用铁盐与酚的显色反应,故选B。(3)B与丙醇反应,只能是B的—COOH与丙醇反应,故得到的酯是
。C的同分异构体(包括C有4种。它们是CH3COOH、HCOOCH3、HOCH2CHO、
)四种同分异构体。
本题难度:一般