时间:2019-07-03 23:32:03
1、推断题 X、Y、Z三种元素的核电荷数小于18,它们间能形成化合物YX2、ZX2。X原子最外电子层的p能级中有一个轨道填充了2个电子,Y原子的最外电子层中p能级的电子数等于次外层电子总数,且X和Y具有相同的电子层;Z与X在周期表中位于同一主族。回答下列问题
(1)Y的轨道表示式为____。
(2) ZX2的分子式是___,分子构型为____。YX2的电子式是____,分子构型为____,中心原子发生了
____杂化。
(3)Y的氢化物中分子构型为正四面体的是____(填名称),中心原子的杂化方式为____。
(4)X的氢化物的分子构型为____,键角为____,中心原子的杂化方式为____。
2、选择题 下列图象中所发生的现象与电子的跃迁无关的是( )
A.
燃放烟花
B.
霓虹灯广告
C.
燃烧蜡烛
D.
平面镜成像
3、填空题 T、X、Y、Z、Q、R、P、W为周期表前四周期元素,原子序数依次递增,其相关信息如表:
| 元素 | ? 相? 关? 信? 息? T T原子所处的周期数、族序数分别与其原子序数相等 X X的基态原子中电子占据三种能量不同的原子轨道,且每种轨道中的电子数相同 Z Z可形成Z2、Z3两种气态单质 Q 在该元素所在周期中,Q的基态原子的第一电离能最小 R R的离子为单核离子,且离子半径是与其具有相同电子层结构离子中半径最小的 P Z是P不同周期的邻族元素;R和P的原子序数之和为30 W W的一种核素的质量数为56,中子数为30? |

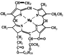
4、填空题 下图所示为血红蛋白和肌红蛋白的活性部分--血红素的结构简式。
回答下列问题:
(1)血红素中含有C、H、O、N、Fe五种元素,C、N、O三种元素的第一电离能由小到大的顺序是_________________,写出基态Fe原子的核外电子排布式_________________。
(2)血红素中N原子的杂化方式为____________,在下图的方框内用“→”标出Fe2+的配位键。
(3)铁有γ、δ、α三种同素异形体,γ晶体晶胞中所含有的铁原子数为________,δ、α两种晶胞中铁原子的配位数之比为__________ 
5、填空题 硼的单质和化合物在工业上有重要的应用。
(1)晶体硼的基本结构单元都是由硼原子组成的正二十面体,其中含有20个等边三角形的面和一定数目的顶角,每个顶角各有一个硼原子。如图所示,则针对晶体硼的基本结构单元回答下列问题:
①B-B键间键角为_________;
②其中硼原子数有________个;B-B键有________根。 
(2)B2O3与C3O2互为等电子体,试写出C3O2的结构式___________。
(3)硼酸[B(OH)3]是一种较弱的一元酸,眼科医院常用作消毒剂,在实验中不小心被碱溶液灼伤后清洗伤口后可涂上少量的硼酸,写出硼酸的电离方程式____________。在硼酸分子中,B原子与3个羟基相连,其晶体具有与石墨相似的层状结构。则分子中B原子杂化轨道的类型及同层分子间的主要作用力分别是
_______。
A.sp,范德华力 B.sp2,范德华力 C.sp2,氢键 D.sp3,氢键 
(4)在30℃以下,将过氧化氢加到硼酸和氢氧化钠的混合溶液中,析出一种无色晶体X。组成分析证实,该晶体的质量组成为Na 14. 72%,B 7.03%, H 5.12 %,则X的化学式为________。