时间:2019-07-03 23:08:53
1、填空题 (共13分)
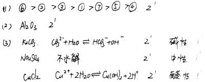
(1)、(2分)物质的量浓度均为0.1 mol/L的下列溶液: ①KNO3、 ②Na2CO3、③NaHCO3、④NaHSO4、⑤CH3COOH、⑥NaOH、⑦NH4Cl,pH 由大到小的顺序为(填序号)?
(2)、(2分)将AlCl3溶于水后,经加热蒸发、蒸干,灼烧,最后所得白色固体的主要成分是?________??
(3)、下列盐溶液能发生水解的用离子方程式表示,不能发生水解的写“不发生水解”字样,并说明溶液的酸碱性(9分)
K 2CO3??溶液呈?性;
Na2SO4??溶液呈?性;
CuCl2?溶液呈?性;
参考答案:
本题解析:略
本题难度:简单
2、选择题 下列溶液中有关物质的浓度关系正确的是? (? )
A.c(NH4+)相等的NH4HCO3、NH4HSO4、NH4Cl溶液中:c (NH4HSO4) ﹥c(NH4HCO3) ﹥c(NH4Cl)
B.向醋酸钠溶液中加入适量醋酸,得到的酸性混合溶液中:C(Na+)﹥C(CH3COO-)﹥C(H+)﹥C(OH-)
C.1.0mol/LNa2CO3溶液中:C(OH-)=C(HCO3-)+C (H+)+2C(H2CO3)
D.某二元弱酸的酸式盐NaHA溶液中:C(H+)+C(Na+)=C(OH-)+C(HA-)+C(A2-)
参考答案:C
本题解析:在三种盐溶液中都存在水解平衡:NH4++H2O
NH3·H2O+OH-;由于在NH4HCO3中还存在平衡:HCO3-+H2O
H2CO3-+H+;二者水解的酸碱性可以相互促进,使c(NH4+)减小。在NH4HSO4中电离产生的H+对NH4+水解起抑制作用,使c(NH4+)增大。因此c(NH4+)相等的NH4HCO3、NH4HSO4、NH4Cl溶液中c(NH4HCO3) ﹥c(NH4Cl) ﹥c (NH4HSO4)。错误。B.向醋酸钠溶液中加入适量醋酸,得到的酸性混合溶液,所以:C(H+)﹥C(OH-)。根据电荷守恒可得C(Na+)+ C(H+)=C(CH3COO-)+C(OH-)。将1式代入2式可得C(CH3COO-)﹥C(Na+)。盐的大量大于弱电解质的电离,所以C(Na+)﹥C(H+)。因此离子浓度的关系是:C(CH3COO-)﹥C(Na+)﹥C(H+)﹥C(OH-)。错误。C.1.0mol/LNa2CO3溶液中根据质子守恒可得:C(OH-)=C(HCO3-)+C (H+)+2C(H2CO3)。正确。D.某二元弱酸的酸式盐NaHA溶液中,根据电荷守恒可得:C(H+)+C(Na+)=C(OH-)+C(HA-)+2C(A2-)。错误。
本题难度:一般
3、选择题 下列说法正确的是
A.NaHCO3溶液加水稀释,c(Na+)/c(HCO3-)的比值保持增大
B.1 mol·L-1的NH4Cl溶液中含有NH4+的数目一定小于NA
C.用石墨电极电解FeCl3溶液,阴极反应:2Fe3++6H2O+6e-=2Fe(OH)3↓+3H2↑
D.将带有相反电荷的胶体混合,一定会出现胶体聚沉现象
参考答案:A
本题解析:A、NaHCO3溶液加水稀释,促进水解正向进行,c(HCO3-)浓度在减小的基础上又正向移动,所以c(Na+)/c(HCO3-)的比值增大,正确;B、溶液体积未知,所以NH4+的数目与NA的关系不确定,错误;C、用石墨电极电解FeCl3溶液,阳极是氯离子放电生成氯气,阴极是铁离子放电生成亚铁离子,错误;D、胶体本身不带电,带电的是胶体粒子,错误,答案选A。
本题难度:一般
4、选择题 25℃时,氢氟酸的Ka=6.8×10-4,醋酸的Ka=1.8× 91exam .org10-5。如图表示25℃时氟化钠和醋酸钠溶液的浓度和Y的关系。则Y可以表示 
[? ]
A.溶液的pH
B.水解平衡常数
C.水解百分率
D.溶液中阴离子浓度之和
参考答案:A
本题解析:
本题难度:一般
5、选择题 Na2S溶液中各种离子的物质的量浓度关系不正确的是(? )
A.c(Na+)>c(S2-)>c(OH-)>c(HS-)
B.c(Na+)+c(H+)=c(HS-)+2c(S2-)+c(OH-)
C.c(Na+)=2c(HS-)+2c(S2-)+2c(H2S)
D.c(OH-)=c(H+)+ c(HS-)
参考答案:D
本题解析:A、在Na2S溶液存在下列反应:Na2S=2Na++S2-;S2-+H2O
HS-+OH-;HS-+H2O
H2S+OH-;H2O
H++OH-。但是盐水解的程度是微弱的,所以 c(Na+)>c(S2-)>c(OH-)>c(HS-)。正确。B、根据电荷守恒可得:c(Na+)+c(H+)=c(HS-)+2c(S2-)+c(OH-)。正确。C、根据物料守恒可得:c(Na+)=2c(HS-)+2c(S2-)+2c(H2S)。正确。D、根据质子守恒可得:c(OH-)=c(H+)+ c(HS-)+2c(H2S).错误。
本题难度:一般