时间:2019-06-28 22:09:02
1、选择题 等物质的量的下列有机物,完全燃烧时,耗氧量最多的是
A.C2H4O2
B.C2H4O
C.C2H6
D.C3H8
2、选择题 有机化合物A、B分子式不同(B的相对分子质量大于A的相对分子质量),它们只可能含碳、氢、氧元素中的两种或三种.如果将A、B不论以何种比例混和,只要其物质的量之和不变,完全燃烧时所消耗的氧气和生成的二氧化碳的物质的量也不变.那么,A、B组成必须满足的条件是?.
若A是丙烯醛,则符合上述条件的化合物B中,分子量最小的是(写出分子式)
?,
并写出分子量最小的能与金属钠反应放出氢气的B的四种可能的同分异构体结构简式:
?。
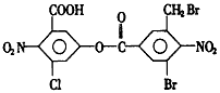
3、选择题 已知苯环上由于取代基的影响,使硝基邻位上的卤原子的反应活性增强,现有某有机物的结构简式如图:1mol该有机物与足量的氢氧化钠溶液混合并共热,充分反应后最多可消耗氢氧化钠的物质的量为a(不考虑硝基与氢氧化钠的反应),则a是
[? ]
A.5mol
B.6mol
C.7mol
D.8mol
4、选择题 在常压和100℃的条件下,将乙醇汽化为蒸气,然后和乙烯以任意比例混合,其混合气体为VL,若完全燃烧,需要相同条件下氧气的体积为
[? ]
A.2V L
B.2.5V L
C.3V L
D.无法计算
5、选择题 某有机物在氧气中完全燃烧,生成水蒸气和二氧化碳的物质的量之比为1:1,由此可以得出的结论是
[? ]
A.该分子中的C、H、O原子的个数比为1:2:3
B.该分子中的C、H原子的个数比为2:1
C.该有机物中必定含O
D.该有机物中必含有C、H,无法判断是否含有O