时间:2019-06-28 22:09:02
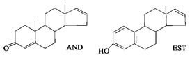
1、选择题 最近《美国科学院院刊》发表了关于人体体香的研究文章,文章称人的体味中存在两种名为“AND”和“EST”的荷尔蒙。关于“AND”和“EST”的下列说法中正确的是
(提示:
)
A.“AND”和“EST”互为同分异构关系
B.“EST”不属于芳香烃,“AND”不属于芳香烃
C.“AND”和“EST”两者分子式之差为CH3
D.“AND”和“EST”均可以与溴水发生反应
参考答案:BD
本题解析:A错,同分异构体为分子式相同而结构式不的化合物,“AND”和“EST”的分子式不同,不属于同分异构体;B正确,芳香烃是指含有苯环的烃;C错,“AND的分子式为
”和“EST的分子式为
”两者分子式之差为CH4;D正确,两分子结构中增有碳碳双键;
本题难度:一般
2、选择题 相同质量的下列各烃,完全燃烧后生成水最多的是
[? ]
A.甲烷
B.乙烷
C.乙烯
D.乙炔
参考答案:A
本题解析:
本题难度:简单
3、选择题 某饱和一元醛(RCHO)中碳元素的质量分数是氧元素的3倍,此醛可能的结构有
A.2种
B.3种
C.4种
D.5种
参考答案:A
本题解析:根据饱和一元醛的通式CnH2nO可知12n=16×3,所以n=4,即为丁醛。丁醛相当于丙烷中的氢原子被醛基所代替,丙烷有两种同分异构体,所以丁醛就有2种,答案选A。
本题难度:简单
4、选择题 使9 g乙二酸和某一定量二元醇完全酯化,生成W g酯和3.6 g水,则该醇的相对分子质量为
[? ]
A.
B.
C.
D.
参考答案:B
本题解析:
本题难度:一般
5、选择题 将0.2 mol某烷烃完全燃烧后,生成的气体缓慢通过盛有0.5 L 2 mol·L-1 的NaOH溶液中,生成的Na2CO3和NaHCO3的物质的量之比为1∶3。则该烷烃为
[? ]
A.甲烷
B.乙烷
C.丙烷
D.丁烷
参考答案:D
本题解析:
本题难度:一般