高中化学知识点大全《大气污染与治理》考点特训(2019年冲刺版)(七)

时间:2019-06-28 21:00:33

微信搜索关注"91考试网"公众号,领30元,获取事业编教师公务员等考试资料40G

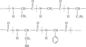
1、判断题  下面是蛋白质结构重复片断,写出合成该蛋白质的单体。


参考答案:


本题解析:由于链中含有肽键“”,因此是缩聚产物,根据缩聚产物推单体的方法,应从的虚线处断开,上加羟基,上加氢原子即得单体,所以上式断键是在下式的虚线处


本题难度:简单



2、实验题  化学兴趣小组查阅资料得知:甲醛是一种无色有刺激性气味的气体,沸点为-19.5℃,易溶于水,易被高锰酸钾氧化生成其他气体。大多数装修材料中含有甲醛。请回答下列问题:
(1)甲醛对人的皮肤和________有强烈的刺激作用。
(2)CO使人中毒是因为很容易和人体血液中的________结合。
(3)该兴趣小组收集V1L含有甲醛和CO的某居室空气,用下图所示装置测定其中甲醛和CO的含量。

则装置A中盛放的试剂是________,实验中还需要测定的数据是________。为了获得较准确的实验结论,他们需要采取的方法是________(填序号)。
a.仔细做好每步操作,只做一次实验 b.在A、B间加一个干燥装置 c.重复做2-3次上述实验


参考答案:(1)呼吸器官
(2)血红蛋白
(3)水;C中水的体积;c


本题解析:


本题难度:一般



3、选择题  右图是同学们经常使用的某品牌修正液包装标签。小明仔细阅读后,结合自己的生活经验和所学知识得出了修正液的某些性质,小明的推测中不合理的是

A.修正液的成分对纸张不具腐蚀性
B.修正液中含有有毒的化学物质
C.修正液是一种胶体,均一、稳定
D.修正液的溶剂易挥发、易燃


参考答案:C


本题解析:略


本题难度:一般



4、选择题  要检验某奶粉中是否含有淀粉,可取少量奶粉放入温水中充分搅拌,加入下列物质中的(?)
A.KI溶液
B.碘水
C.氯水
D.AgNO3溶液


参考答案:B


本题解析:加入碘水,碘遇淀粉变蓝,这是淀粉的特征反应。


本题难度:简单



5、选择题   随着社会的发展,人们日益重视环境问题,下列做法或说法不正确的是(  )
A.绿色化学的核心是利用化学原理从头上减少和消除工农业生产等对环境的污染
B.将工业废水“再生”处理,用于城市道路保洁、喷泉和浇花用水
C.大力实施矿物燃料“脱硫、脱硝技术”,减少硫和氮的氧化物对环境的污染
D.PM2.5是指大气中直径接近于2.5×10-6m的颗粒物,也称细颗粒物,这些细颗粒物
分散在空气中形成混合物具有丁达尔效应


参考答案:D


本题解析:A、绿色化学的核心是利用化学原理从头上减少和消除工农业生产等对环境的污染,正确;B、将工业废水“再生”处理,用于城市道路保洁、喷泉和浇花用水,节约用水同时环保,正确;C、大力实施矿物燃料“脱硫、脱硝技术”,减少硫和氮的氧化物对环境的污染,正确;D、PM2.5是指大气中直径接近于2.5×10-6m的颗粒物,远远超过胶体粒子直径的范围,不具有丁达尔效应,错误,答案选D。


本题难度:简单




首页 上页 6 7 8 下页 尾页 7/10/10
微信搜索关注"91考试网"公众号,领30元,获取公务员事业编教师考试资料40G
【省市县地区导航】【考试题库导航】
 ★ 高考省级导航 ★ 
全国 A安徽 B北京 C重庆 F福建 G广东 广西 甘肃 贵州 H河南 河北 湖南 湖北 黑龙江 海南 J江苏 江西 吉林 L辽宁 N内蒙古 宁夏 Q青海 S山东 山西 陕西 四川 上海 T天津 X新疆 西藏 Y云南 Z浙江
 ★ 高考信息汇总 ★ 
 ★ 高考历年真题 ★ 
 ★ 高考历年真题 ★ 
 ★ 高考题库 ★ 
 ★ 高考题库 ★ 

电脑版  |  手机版  |  返回顶部