时间:2019-06-28 20:46:51
1、填空题 (本题共12分)磷单质及其化合物在工业生产中有着广泛的应用。白磷可用于制备高纯度的磷酸(磷酸结构式为
),次磷酸钠(NaH2PO2)可用于化学镀镍等等。
完成下列填空:
23.NaH2PO2中涉及到四种元素,它们的原子半径由小到大的顺序为____________。
24.写出与磷同周期的主族元素中,离子半径最小的元素,其最高价氧化物对应水化物的电离方程式______。
25.磷酸二氢钠主要用于制革、处理锅炉水及在食品工业、发酵工业中作缓冲剂。其水溶液呈酸性的原因是_______________________________________________________。(请用文字描述)
26.已知磷酸分子中的三个氢原子
都可以跟重水分子(D2O)中的D原子发生氢交换。 又知次磷酸(H3PO2)也可跟D2O进行氢交换,但次磷酸钠(NaH2PO2)却不能跟D2O发生氢交换。由此可推断出H3PO2的分子结构是
27.次磷酸钠(NaH2PO2)可用于化学镀镍。化学镀镍的溶液中含有Ni2+和H2PO2-,在一定条件下能发生如下反应:__Ni2++__H2PO2-+ →__Ni + ___H2PO3-+_____。请完成并配平上述反应离子方程式。该反应的还原产物是__________,反应中转移1摩尔电子时,理论上产生金属镍______克。
2、选择题 2.1g平均相对分子质量为7.2的CO和H2组成的混合气体与足量的O2充分反应后,立即通入足量的Na2O2固体中,充分反应,固体的质量增加( )
A.2.1g
B.7.2g
C.9.3g
D.以上答案均不正确
3、填空题 (8分)按要求回答下列问题
①写出Ba(OH)2溶于水时的电离方程式:?
②写出工业生产氯气的化学方程式:?
③写出Mg在CO2气体中点燃的化学方程式:?
④写出钠和水反应的离子方程式:?
4、选择题 下图是各种不同密度的硝酸与铁反应时(相同温度)主要还原产物的分布图。请认真读图分析,下列叙述不正确的是
A.图中横坐标是硝酸的密度,硝酸的密度越大,则表示其浓度也越大
B.当还原剂和温度相同时,不同浓度硝酸被还原的产物不是单一的,只是在某浓度时,以某种产物为主而已
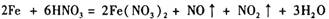
C.当硝酸溶液的密度为1.36g?ml-1时,能较准确表达Fe与过量硝酸反应的是:
D.还原产物中NH4+的物质的量分数随硝酸密度减少而增大
5、选择题 金属钾的冶炼可采用如下方法:2KF+CaC2
CaF2+2K↑+2C,下列有关说法合理的是(?)
A.该反应的氧化剂是KF,氧化产物是K
B.该反应能说明C的还原性大于K
C.电解KF溶液不可能制备金属钾
D.CaC2、CaF2均为离子化合物,且阴、阳离子个数比均为2∶1