时间:2019-06-28 20:42:23
1、简答题 写出基态镓(Ga)原子的电子排布式:______.
参考答案:镓是31号元素,核外有31个电子,基态镓(Ga)原子的电子排布式为1s22s22p63s23p63d104s24p1,故答案为:1s22s22p63s23p63d104s24p1.
本题解析:
本题难度:一般
2、选择题 下列物质中,所含的原子或离子中最外层都为8电子结构的是( )
A.HCl
B.Na2S
C.LiCl
D.H2O
参考答案:B
本题解析:
本题难度:一般
3、简答题 第四周期的Cr、Fe、Co、Ni、Cu、Zn等许多金属能形成配合物.
(1)Cr的核外电子排布式为______;
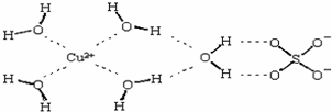
(2)科学家通过X射线测得胆矾结构示意图可简单表示如下:图中虚线表示的作用力为______;
(3)胆矾溶液与氨水在一定条件下可以生成Cu(NH3)4SO4?H2O晶体.在Cu(NH3)4SO4?H2O晶体中,[Cu(NH3)4]2+?为平面正方形结构,则呈正四面体结构的原子团是______,该原子团中心原子的杂化轨道类型是______;
(4)在一定条件下,Cu+比Cu2+稳定,请解释其原因:______
(5)金属镍粉在CO气流中轻微加热,生成无色挥发性液态Ni(CO)4,呈正四面体构型.试推测四羰基镍的晶体类型是______,Ni(CO)4易溶于______.
A.水? ?B.四氯化碳? C.苯? ?D.硫酸镍溶液.
参考答案:(1)Cr的原子序数为24,基态原子的电子排布式为1s22s22p63s23p63d54s1,故答案为:1s22s22p63s23p63d54s1;
(2)Cu2+与O之间为配位键,H…O为氢键,故答案为:氢键、配位键;
(3)S与4个O形成共价键,则含有4个δ键,孤电子对数=6+2-2×42=0,应为sp3杂化,且为正四面体结构,
故答案为:SO42-;sp3;
(4)Cu+基态离子的价电子排布为3d10,Cu2+基态离子的价电子排布为3d9,二者比较前者为半充满,为较稳定状态,
故答案为:Cu+基态离子的价电子排布为3d10,Cu2+基态离子的价电子排布为3d9,前者为半充满,所以Cu+比Cu2+稳定;
(5)金属镍粉在CO气流中轻微加热,生成无色挥发性液态Ni(CO)4,应为分子晶体,呈正四面体构型,应为非极性分子,易溶于非极性溶剂,
故答案为:分子晶体;BC.
本题解析:
本题难度:一般
4、简答题 卤素化学丰富多彩,能形成卤化物、卤素互化物、多卤化物等多种类型的化合物.
(1)基态溴原子的电子排布式为______.
(2)卤素互化物如BrI、ICl等与卤素单质结构相似、性质相近.Cl2、BrI、ICl沸点由高到低的顺序为______.
(3)气态氟化氢中存在二聚分子(HF)2,这是由于______.
(4)I3+(可看成II2+)属于多卤素阳离子,根据VSEPR模型推测I3+的实际空间构型为______.
(5)KCl与MgO的晶体结构跟NaCl的晶体结构相似,则KCl与MgO两者中熔点高的是______.
(6)在一定条件下铁形成的晶体的基本结构单元如图1和图2所示,则图1和图2的结构中铁原子的配位数之比为______.
参考答案:(1)溴的原子的质子数为35,核外电子数为35,由核外电子排布规律可知其电子排布式为1s22s22p63s23p63d104s24p5;
故答案为:1s22s22p63s23p63d104s24p5;
(2)因相对分子质量BrI>ICl>Cl2 ,则范德华力BrI>ICl>Cl2 ,即沸点BrI>ICl>Cl2 .
故答案为:BrI>ICl>Cl2.
(3)因F的电负性最大,则HF分子中存在氢键形成二聚分子.
故答案为:HF分子间形成氢键;
(4)中心I原子的价层电子对数为=7+1×2-12=4,价层电子对为正四面体,中心I原子的孤电子对数为7-1×2-12=2,则I3+的空间构型为V形;
故答案为:V形;
(5)KCl晶体中钾离子、氯离子半径都大于镁离子、氧离子半径,镁离子、氧离子所带的电荷多,故MgO中离子键更强,故MgO的熔点更高;
故答案为:MgO;
(6)根据图1可知Fe原子的配位数为8,图2中Fe原子的配位数为12,故图1和图2的结构中铁原子的配位数之比为8:12=2:3;
故答案为:2:3.
本题解析:
本题难度:一般
5、选择题 短周期元素X的原子最外电子层中具有最多的未成对电子,元素Y的原子只有两种形状的电子云,且两种电子云的电子数相等,则X、Y组成的微粒中不可能存在的是( )
A.XY42-
B.X2Y5
C.XY2-
D.XY3-
参考答案:短周期元素X的原子最外电子层中具有最多的未成对电子,X为2s22p3或3s23p3,为N或P;元素Y的原子只有两种形状的电子云,且两种电子云的电子数相等,Y为1s22s22p4,则Y为O,
A.XY42-中X的化合价为+6价,而N或P的最高价为+5价,则不可能存在,故A选;
B.可形成N2O5,故B不选;
C.可形成NO2-,故C不选;
D.可形成NO3-,故D不选;
故选A.
本题解析:
本题难度:简单