时间:2019-06-25 22:35:49
1、选择题 下列各组物质中,一定属于同系物的是
A.乙二醇和丙三醇
B.C4H6和C2H2
C.C3H6和C4H8
D.C2H6和C10H22
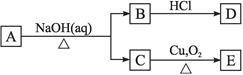
2、选择题 有机物A的分子式为C6H12O2。在一定条件下发生如下图所示转化。已知D和E都不能发生银镜反应,由此推断A的可能结构有
A.2种
B.3种
C.4种
D.6种
3、选择题 下列物质中存在顺反异构体的是
A.2-氯丙烯
B.2-甲基-2-丁烯
C.2-丁烯
D.聚1,2—二氯乙烯
4、选择题 下列各组混合物不能用分液漏斗分离的是(?)
A.硝基苯和水
B.苯和甲苯
C.乙苯和水
D.溴苯和NaOH溶液
5、选择题 20 mL由两种气态烃组成的混合物,在足量的O2中完全燃烧,生成40 mL水蒸气和30 mLCO2(同温同压下测定)。该混合气体可能的成分为
[? ]