时间:2019-05-30 05:41:14
1、简答题 [选修5有机化学基础]
化合物A(HOCH2CH2Cl)和B[HN(CH2CH3)2]是合成药品PLKY的重要中间体.已知:硝基苯可还原成苯胺,苯胺显弱碱性,易被氧化.PLKY的合成路线如下:
(1)甲的结构简式是______,丙与B反应的反应类型是______.
(2)乙与A反应的化学方程式是:______.
(3)PLKY有两种水解产物丁和戊.
①戊与甲互为同分异构体,戊的结构简式?是______.
②戊经聚合反应制成的髙分子纤维广泛用于通讯、宇航等领域.该聚合反应的化学方程式是______
③某有机物C的分子式为C2H4O,通过光谱分析得知分子内除C一H键、C-C键外还含有两个C一O单键,这种光谱是______光谱,C与B在一定条件下反应可生成丁,该反应的化学方程式是______.
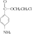
参考答案:由合成图可知,甲苯发生对位的取代反应生成甲(对硝基甲苯),然后氧化生成乙(对硝基苯甲酸),乙与A反应为酯化反应,A为OHCH2CH2Cl,又加氢去氧发生的还原反应,则丙为
,丙与R发生取代反应生成PLKY,
(1)甲为对硝基甲苯,其结构简式为
,丙为
,与B反应时-Cl被-N(CH2CH3)2取代,则发生取代反应,故答案为:
;取代反应;
(2)乙与A反应为酯化反应,该反应为
,故答案为:
;
(3)①PLKY有两种水解产物丁和戊,戊与甲互为同分异构体,戊的结构简式为
,故答案为:
;
②戊经聚合反应制成的髙分子纤维,则该缩聚反应为
,
故答案为:
;
③分子内除C一H键、C-C键外还含有两个C一O单键,是利用红外光谱测定的,C与B在一定条件下反应可生成丁的化学反应为
,
故答案为:红外;
.
本题解析:
本题难度:一般
2、简答题 A、B、C、D、E为五种气态烃,其中A、B、C都能使酸性KMnO4退色,1molC与2molBr2完全加成,生成物分子中每个碳原子都有一个溴原子,A与C通式相同,A与H2加成可得到B,B与N2密度相同,D是最简单的有机物,E为D的同系物,完全燃烧等摩尔B、E,生成CO2相同,试确定A、B、C、D、E的结构简式.
参考答案:A、B、C、D、E为五种气态烃,D是最简单的有机物,则D为甲烷,结构简式为CH4;
1molC与2molBr2完全加成,生成物分子中每个碳原子都有一个溴原子,则C含有4个C原子,为1,3-丁二烯与溴发生加成反应,C为CH2=CH-CH=CH2;
A与C通式相同,A与H2加成可得到B,B与N2密度相同,则B的相对分子质量为28,故B为乙烯、A为乙炔,A的结构简式为CH≡CH、B的结构简式为CH2=CH2;
E为D的同系物,属于烷烃,完全燃烧等摩尔B、E,生成CO2相同,则E分子中含有2个C原子,故E为乙烷,结构简式为CH3CH3,
故答案为:A、B、C、D、E的结构简式分别为CH≡CH、CH2=CH2、CH2=CH-CH=CH2、CH4、CH3CH3.
本题解析:
本题难度:一般
3、填空题 植物精油具有抗菌消炎、解热镇痛等药物功用。从樟科植物枝叶中提取的精油中含有下列甲、乙、丙三种成分:
丙:分子式C16H14O2
(1)甲、乙中含氧官能团的名称分别为___________ 、___________。
(2)经下列过程甲可转化为乙:
?
①,②的反应类型分别为___________、___________ 。
(3)通过下列合成路线由乙可得到丙(部分反应产物略去)
已知:


①F的结构简式为_________________________________。
②由乙制取D的化学方程式_______________________________________
③写出同时符合下列要求的D的同分异构体的结构简式______________________。
a.化合物是二取代苯?
b,分子中有5种不同环境的氢原子,其个数比为1:2:2:1: 2
c.能使溴的CCl4溶液褪色,且在酸性条件下可以发生水解反应
④丙的结构简式为_________________。
参考答案:(9分)每空1分(1)羟基(1分)?醛基(1分)(2)加成反应(1分) 消去反应(1分)
(3)
(1分)
(该问共2分)
(1分)?
(1分)
本题解析:(1)根据甲和乙的结构简式可知,甲、乙中含氧官能团的名称分别为羟基和醛基。
(2)根据甲的结构简式可知,分子还含有碳碳双键,则根据反应①的生成物结构简式可知,该反应应该是碳碳双键和氯化氢的加成反应。根据生成Y的反应条件可知,生成Y的反应应该是羟基的催化氧化生成醛基。所以根据乙的结构简式可知,分子中含有碳碳双键,因此反应②应该是氯原子的消去反应。
(3)根据已知相信可知,乙通过臭氧氧化后生成物应该是苯甲醛和乙二醛。由于A在浓氢氧化钠溶液的作用下可以生成相对分子质量是76的E,所以根据已知信息可知,A应该是乙二醛,而B是苯甲醛。A生成的E是HOCH2COOH。E分子含有羟基和羧基,可以发生缩聚反应生成高分子化合物,则F的结构简式是
。乙被氢氧化铜氧化醛基变成羧基,即D的结构简式是
。D和C在浓硫酸的作用下发生反应生成丙,所以该反应应该是酯化反应,则C是苯甲醇,丙的结构简式是
。满足D的同分异构体中能使溴的CCl4溶液褪色,说明含有不饱和双键;能水解,说明含有酯基。根据是二取代苯以及核磁共振氢谱可知,其结构简式
。
点评:该题是高考中的常见题型,属于中等难度试题的考查。试题贴近高考,综合性强,在注重对学生基础知识巩固与训练的同时,侧重对学生能力的培养与解题方法的指导和训练,有利于培养学生的自学能力和知识的迁移能力。该题的关键是记住常见官能团的结构、性质以及官能团之间的相互转化,然后结合题意灵活运用即可。
本题难度:一般
4、填空题 (3分)下列反应类型:①取代②加成③消去?④酯化?⑤氧化?⑥还原?可在有机物中引入羟基的反应类型是?。
参考答案:①②⑤⑥
本题解析:略
本题难度:简单
5、填空题 已知烯烃中碳碳双键在某些强氧化剂作用下 易发生断裂,因而在有机合成中有时需要对其进行 保护,保护的方法常常是使烯烃生成二溴代物,然后 用Zn粉在乙烯存在下使二溴代物再转变为烯烃,其过程可简单表示如下: 又知烯烃中的C=C键在酸性条件下才能与水发生加成反应。觋欲以石油产品丙烯及必要的无机试剂为原料合成丙烯酸(CH2=CH-COOH),
设计第一步反应为 CH2=CH-CH3+Cl2
CH2=CH-CH2Cl + HCl。请运用你学过的知识及上述信息,补写出从丙烯制取丙烯酸的其余各步反应方程式(注明必要的反应条件)_____________。
参考答案:CH2=CH-CH2Cl+NaOH
CH2=CH-CH2OH+NaCl,
CH2=CH-CH2OH+Br2→ CH2Br-CHBr-CH2OH,
2CH2Br-CHBr-CH2OH+O2
2CH2Br-CHBr-CHO+2H2O,
2CH2Br-CHBr-CHO+O2
2CH2Br-CHBr-COOH,
CH2Br-CHBr-COOH+Z
CH2=CH-COOH+ZnBr2。
本题解析:
本题难度:一般