-->

1、选择题  氧-18(188O)是氧的一种同位素,称为重氧。最近,兰州近代物理研究所研制出我国首批重氧气,可用符号18O2表示。重氧与普通氢组成的“水”称为重氧水。下列说法正确的是
[? ]
A.18g的18O2物质的量是0.1mol

高中化学知识点总结《物质的量》高频试题巩固(2017年最新版)

时间:2018-03-17 06:53:16

微信搜索关注"91考试网"公众号,领30元,获取事业编教师公务员等考试资料40G

1、选择题  氧-18(188O)是氧的一种同位素,称为重氧。最近,兰州近代物理研究所研制出我国首批重氧气,可用符号18O2表示。重氧与普通氢组成的“水”称为重氧水。下列说法正确的是
[? ]
A.18g的18O2物质的量是0.1mol
B.0.1mol 18O2的体积是2.24L
C.18O2气体的摩尔质量是36g     
D.0.1mol重氧水所含中子数约是6.02×1023个


参考答案:D


本题解析:


本题难度:简单



2、填空题  现有等物质的量的NaHCO3、KHCO3的混合物a g与100mL盐酸反应。题中涉及的气体体积均以标准状况计,填空时可以用带字母的公式表示。
(1)该混合物中NaHCO3与KHCO3的质量比为?
(2)如碳酸氢盐与盐酸恰好完全反应,则盐酸的物质的量浓度为?mol·L-1。
(3)如果盐酸过量,生成CO2的体积为?L。
(4)如果反应后碳酸氢盐有剩余,盐酸不足量,要计算生成CO2的体积,还需要知道?
(5)若NaHCO3和KHCO3不是以等物质的量混合,则a g固体混合物与足量的盐酸完全反应时生成CO2的体积范围是?


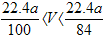
参考答案:(1)84︰100?(2)5a/46?(3)22.4a/92或5.6a/23?(4)盐酸的物质的量浓度
(5)600)makesmallpic(this,600,1800);\' src=\"http://www_php168_com/91files/2016060722/w0mtjngc0s3.png\" style=\"vertical-align:middle;\">


本题解析:(1)物质的量相等时,质量之比是摩尔质量之比,所以二者的质量之比是84︰100。
(2)混合物中二者的物质的量都是a/184mol,则根据方程式HCO3-+H+=H2O+CO2↑可知,盐酸的物质的量是2a/184mol,则其浓度是2a/184mol÷0.1L=5a/46mol/L。
(3)根据碳原子守恒可知,生成CO2是2a/184×22.4L=22.4a/92L。
(4)由于盐酸不足,则生成的CO2需要以盐酸的物质的量进行计算,因此还需要知道盐酸的物质的量浓度。
(5)可以采用极值法进行计算,即如果全部是碳酸氢钠,则生成CO2是22.4a/84L;如果全部是碳酸氢钾,则生成的CO2是22.4a/100L,所以范围是22.4a/100L<V<22.4a/84L。


本题难度:一般



3、选择题  NA为阿伏加德罗常数的数值,下列说法中不正确的是(  )
A.常温常压下,22.4 L氯气与足量镁粉充分反应,转移的电子数为2NA
B.一定条件下,2.3 g的Na完全与O2反应生成3.6 g产物时失去的电子数为0.1NA
C.分子总数为NA的NO2和CO2混合气体含有的氧原子数为2NA
D.常温常压下,92 g NO2和N2O4的混合气体中含有的原子数为6NA


参考答案:A


本题解析:A选项常温下,不能使用22.4 L·mol-1进行计算,A错;B项反应后不论生成氧化钠还是过氧化钠,都会失去0.1 mol电子,正确;C选项1个NO2和1个CO2分子中都含有2个氧原子,故分子总数为NA的混合气体中含氧原子数为2NA中,正确;D项NO2和N2O4的最简式均为NO2,92 g混合气体中含NO2的物质的量为2 mol,故含有原子的总数为2×3NA=6NA。


本题难度:一般



4、选择题  NA代表阿伏加德罗常数的数值。下列有关叙述正确的是(?)
A.1 mol Cl2与足量的铁反应时转移电子数为3NA
B.3.4g NH3中含N—H键数目为0.2NA
C.10g重水含有的质子数为5 NA
D.1mol Na2O2固体中含有的离子总数为4NA


参考答案:C


本题解析:A错,1 mol Cl2与足量的铁反应时转移电子数为2NA;B错,3.4g NH3中含N—H键数目为0.6NA;C正确;D错,1mol Na2O2固体中含有的离子总数为3NA


本题难度:一般



5、选择题  我们已经知道:当气体分子的物质的量相同时,气体分子数相同。影响物质体积大小的因素有:构成物质的粒子大小、粒子个数、粒子间距,在不同条件下,它们对体积影响的程度会有所不同。试判断,如果4 g氨气含x个分子,那么8 g硫化氢中含有的分子数为 …
()
A.600)makesmallpic(this,600,1800);\' src=\"http://www_php168_com/91files/2016060722/11xqqixtkjz.gif\" style=\"vertical-align:middle;\">
B.600)makesmallpic(this,600,1800);\' src=\"http://www_php168_com/91files/2016060722/elfp1aexkwr.gif\" style=\"vertical-align:middle;\">
C.2600)makesmallpic(this,600,1800);\' src=\"http://www_php168_com/91files/2016060722/elfp1aexkwr.gif\" style=\"vertical-align:middle;\">
D.4600)makesmallpic(this,600,1800);\' src=\"http://www_php168_com/91files/2016060722/elfp1aexkwr.gif\" style=\"vertical-align:middle;\">


参考答案:B


本题解析:600)makesmallpic(this,600,1800);\' src=\"http://www_php168_com/91files/2016060722/qjclhdt3dar.gif\" style=\"vertical-align:middle;\">,则600)makesmallpic(this,600,1800);\' src=\"http://www_php168_com/91files/2016060722/srtzw5nwnip.gif\" style=\"vertical-align:middle;\">=600)makesmallpic(this,600,1800);\' src=\"http://www_php168_com/91files/2016060722/ubf3oibnq3d.gif\" style=\"vertical-align:middle;\">
N(H2S)= 600)makesmallpic(this,600,1800);\' src=\"http://www_php168_com/91files/2016060722/5bn4sr2cczn.gif\" style=\"vertical-align:middle;\">


本题难度:简单




微信搜索关注"91考试网"公众号,领30元,获取公务员事业编教师考试资料40G
【省市县地区导航】【考试题库导航】
 ★ 高考省级导航 ★ 
全国 A安徽 B北京 C重庆 F福建 G广东 广西 甘肃 贵州 H河南 河北 湖南 湖北 黑龙江 海南 J江苏 江西 吉林 L辽宁 N内蒙古 宁夏 Q青海 S山东 山西 陕西 四川 上海 T天津 X新疆 西藏 Y云南 Z浙江
 ★ 高考信息汇总 ★ 
 ★ 高考历年真题 ★ 
 ★ 高考历年真题 ★ 
 ★ 高考题库 ★ 
 ★ 高考题库 ★