时间:2017-11-11 04:25:26
1、推断题  有机化合物A为一元溴代有机酸,仅含C、H、O、Br元素,与A相关的反应框图如下
(1)写出下列反应过程中的有机反应类型:A→C中是___________,C→E是___________。
(2)写出F的结构简式:__________________________。
(3)写出与C具有相同官能团的同分异构体的结构简式________________________。
(4)写出反应A→B的化学方程式:________________________________。                                   
参考答案:(1)消去反应;加成反应(2)
(3)
(4)
本题解析:
本题难度:困难
2、选择题  有如下合成路线,甲经二步转化为丙:
?
下列叙述错误的是(  )
A.甲和丙均可与酸性KMnO4溶液发生反应
B.反应(1)的无机试剂是液溴,铁作催化剂
C.步骤(2)产物中可能含有未反应的甲,可用溴水检验是否含甲
D.反应(2)反应属于取代反应
参考答案:B
本题解析:
本题难度:一般
3、填空题  化合物C的相对分子质量为58,其分子中碳的质量分数为41.4%,氢的为3.45%,其余为氧。C的相关反应关系如图所示,部分产物及条件已略去。D分子中含有两个相同的官能团。 
?
已知R-CH(OH)2不稳定,容易转化为R-CHO;
不稳定,容易转化为
。
根据以上信息回答问题。
(1)D中官能团的名称是?。A?
?B的反应类型是?。 
(2)实验室制取A的化学方程式是?。
(3)若F的分子式为C4H4O4,写出D+ E
 F的化学方程式?。
(4)若E中有两种官能团,写出E的结构简式?;
设计实验验证两种官能团的存在?。
(5)有两种官能团的E有多种同分异构体,写出其中两种稳定的同分异构体的结构简式?,?。§科
参考答案:(1)羧基 (1分)?加成反应?(1分)
(2)CaC2+2H2O→Ca(OH)2+C2H2↑?(3分)
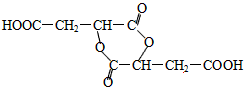
(3)
?(3分)
(4)HO-CH2-CHO?(2分)?在E中加入金属钠,收集产生的气体进行爆鸣实验,若发生爆鸣,证明E中含有官能团羟基;另取E溶液加入新制Cu(OH)2,加热,若有砖红色沉淀出现,证明E中含有官能团醛基。 (合理答案同等得分)?(3分)
(5)CH3COOH ?HCOOCH3?(合理答案同等得分)?(2分)
本题解析:略
本题难度:一般
4、填空题  (6分)石油通过裂化和裂解可以得到乙烯,乙烯的产量可以用来衡量一个国家石油化工发展水平。下图是由乙烯为原料生产某些化工产品的转化关系图。
?
据此回答下列问题。
(1)写出乙烯的一种用途__?_____,指出乙烯→B的反应类型?(选填取代反应或加成反应)。
(2)写出A的结构简式__________________。
(3)写出B + C → D的化学反应方程式______________?_____________________。
参考答案:(1) 生产聚乙烯塑料? (1分)?加成反应? (1分)? (2) 
?(2分)
(3) CH3CH2OH + CH3COOH
 CH3COOCH2CH3 + H2O? (2分)
本题解析:略
本题难度:简单
5、填空题  有机物A是常用的食用油抗氧化剂,分子为C10H12O5,可发生如下变化:
已知B的相对分子质量为60,分子中只含一个甲基.C的结构可表示为:
(其中—x、一y均为官能团)。请回答下列问题:
(1)根据系统命名法,B的名称为?;官能团一x的名称为?;高聚物E的链节为?;A的结构简式为?。
(2)反应⑤的化学方程式为?
(3)C有多种同分异构体,写出其中2种符合下列要求的同分异构体的结构简式?、?。
①含有苯环?②能发生银镜反应?③含有酚羟基
(4)从分子结构上看,A具有抗氧化作用的主要原因是 ?(填序号)。
A.含有苯环?  B.含有羰基?  C.含有酚羟基
参考答案:
(1)1-丙醇(1分);羧基(1分);-CH2
(1分)
(1分)
(2)(1分)
(3)(2分)
(4)C (1分)
本题解析: 根据题目所给框图,A为为C10H12O5,C含有苯环,能与NaHCO3溶液反应生成气泡,能与FeCl3溶液发生显色反应,可知x为羧基、y为酚羟基,B为丙醇,因为B在浓硫酸条件下加热得到D,为丙烯,在一定条件下发生加成反应得到E。
因为B只含一个甲基,所以B为1-丙醇,根据C的结构和A的分子式及性质可得A的结构。
反应⑤利用了C的酸性,与NaHCO3反应生成CO2和H2O。
能发生银镜反应说明含有醛基,比C多一个酚羟基,1个羧基和4个酚羟基连在苯环上,根据位置不同可得3种同分异构体。酚羟基还原性强,可起到抗氧化作用。
本题难度:困难