时间:2017-11-11 04:25:26
1、推断题  最近科学家获得了一种稳定性好、抗氧化能力强的活性化合物,其结构如下
在研究其性能的过程中,发现结构片段X对化合物A 的性能有重要作用。为了研究X的结构,将化合物A在一定条件下水解,只得到B和C。经元素分析及相对分子质量测定,确定C的分子式为C7H6O3,C遇
FeCl3水溶液显紫色,与NaHCO3溶液反应有CO2产生。
请回答下列问题:
(1)化合物B能发生下列哪些类型的反应________。 
A.取代反应 B.加成反应 C.缩聚反应 D.氧化反应
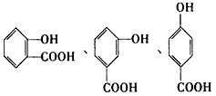
(2)写出化合物C所有可能的结构简式________。 
(3)化合物C能经F列反应得到G(分子式为C8H6O2,分子内含有五元环) 
①确认化合物C的结构简式为_______________。
②F→G反应的化学方程式为________________________。 
③化合物E有多种同分异构体,1H核磁共振谱图表明,其中某些同分异构体含有苯环,且苯环上有两种不同化学环境的氢,写出这些同分异构体中任意三种的结构简式________________。 
参考答案:(1)ABD (2)
(3)①
②
③
本题解析:
本题难度:困难
2、填空题  按要求写出下列化学方程式:(10分)
(1) 甲苯→TNT
?;
(2)乙醇→乙烯
?;
(3) 2-溴丙烷→丙烯
?;
(4) CaC2→乙炔
?
(5)乙醛与银氨溶液在一定条件下发生的反应
??
参考答案:(1)
(2)CH3CH2OH CH2 = CH2↑+ H2O
CH2 = CH2↑+ H2O
(3)CH3CHBr CH3+ NaOH CH2 =" CH" CH3↑+ NaBr +H2O
CH2 =" CH" CH3↑+ NaBr +H2O
(4)CaC2 + 2H2O CH≡CH↑+ Ca(OH)2
CH≡CH↑+ Ca(OH)2
(5)
本题解析:甲苯和浓硫酸以及浓硝酸的混合液加热反应生成TNT;乙醇发生消去反应生成乙烯;2-溴丙烷发生消去反应,生成丙烯;碳化钙和水反应生成乙炔和氢氧化钙;乙醛发生银镜反应生成乙酸铵、单质银、氨气和水。
点评:该题是基础性试题的考查,难度不大,有助于培养学生的规范答题能力。该题的关键是熟练记住常见有机反应。
本题难度:一般
3、填空题  (18分)某芳香烃X是一种重要的有机化工原料,它的蒸气密度是同温同压下氢气密度的46倍。研究部门以它为初始原料设计出如下转化关系图(部分产物、合成路线、反应条件略去)。其中A是一氯代物,H是一种功能高分子,链节组成为C7H5NO。
已知:
Ⅰ
Ⅱ (苯胺,易被氧化)
(苯胺,易被氧化)
请根据所学知识与本题所给信息回答下列问题:
(1)X的分子式是  ?  ;
(2)物质G在核磁共振氢谱中能呈现?种峰,峰面积之比为?;
(3)阿司匹林分子结构中所含官能团的名称是?;
(4)写出反应②、③的反应类型??,?;
(5)写出反应④和⑤的化学方程式:
④?;⑤?;
(6) (水杨酸)有多种同分异构体,写出符合下列条件的结构简式?。
(水杨酸)有多种同分异构体,写出符合下列条件的结构简式?。
①属于芳香族化合物,且属于酯类;②遇FeCl3溶液显紫色;
③苯环上有两个取代基,且苯环上的一氯代物只有两种。
(7)请用合成反应流程图表示出由 和其他无机物合成
和其他无机物合成 最合理的方案(不超过4步)。例:
最合理的方案(不超过4步)。例: ?
?
参考答案:(共18分)
(1)C7H8?(2分)
(2) 5(1分),1 :1:1:1:1?(1分)
(3)酯基、羧基(2分)
(4)氧化反应、还原反应(2分)
本题解析:略
本题难度:一般
4、选择题  现已为婴儿特制成了一种新型的尿布——“尿不湿”。这种尿布表面涂有一种既能吸水又能保留水的物质。依你的推测,这种特殊物质的结构可能是
参考答案:C
本题解析:略
本题难度:一般
5、填空题  (8分)在工业生产中,X的产量是衡量一个国家石油化工水平发展的标志;G是合成高分子化合物,用于制备塑料。现有如下的反应关系:(部分反应条件和产物已省去)
(1)X的结构简式为?; A的结构式为?。
(2)B中含有的官能团的名称为?;X→A的反应类型为?。
(3)写出下列转化的化学方程式:X→G ?;
A+C→F ?。
参考答案:(8分)(1)略(2分)?(2)醛基、加成反应(2分)
(3)n CH2=CH2 ?→? ?(2分)
?(2分)
CH3COOH + C2H5OH  ?CH3COOC2H5 + H2O?(2分)
?CH3COOC2H5 + H2O?(2分)
本题解析:X的产量是衡量一个国家石油化工水平发展的标志;可以确定X为乙烯,然后可依次推导X与水加成,生成A(乙醇),A氧化为B(乙醛),B氧化为C(乙酸),A和C发生酯化反应,生成F(乙酸乙酯),X发生加聚反应,生成G为聚乙烯。
本题难度:一般