时间:2017-11-11 03:27:26
1、选择题 含有18O的示踪原子的水与乙酸乙酯进行水解反应,一段时间后,示踪原子存在于:
A.乙酸中
B.乙醇中
C.乙酸乙酯中
D.以上三者中都有
2、填空题 (16分)A是一种重要的化工原料,它的产量可以衡量一个国家石油化工水平的高低。A、B、C、D在一定条件下存在如下转化关系(部分反应条件、产物被省略)。
?
(1)工业上,由石油获得石蜡油的方法是_________,由石蜡油获得A是________变化。
(2)写出A→B的反应方程式:?
该反应的类型是____________________
写出反应B+C→D的化学方程式:____________________________?
该反应的类型是??。
(3)使1molA与氯气发生完全加成反应,然后使该加成反应的产物与氯气在光照的条件下发生完全取代反应,则两个过程中消耗的氯气的总的物质的量是?mol?
(4)实验室制备D的实验装置图如图所示:收集产物的试管中盛放的液体为?;该溶液的作用有:
①除掉产物中的?和?杂质;
②?
(5)在制备乙酸乙酯过程中,往往加入的乙酸和乙醇的量要比理论计算量多得多,请解析其中可能存在的原因:
①?
②?
3、选择题 某有机物A的结构简式如图,下列有关A的说法正确的是 
[? ]
A.分子式为:C14H25O6NBr?
B.该分子中含有两个手性碳原子
C.不能使酸性高锰酸钾溶液褪色
D.A在一定条件下与氢氧化钠溶液反应,1?molA最多消耗4mol?NaOH
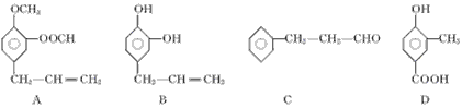
4、填空题 A、B、C、D四种芳香族化合物都是某些植物挥发油中的主要成分,有的是药物,有的是香料。它们的结构简式如下所示
请回答下列问题:
(1)写出B中官能团的名称___________;1molB能与含____________molBr2的溴水反应。
(2)既能使FeCl2溶液显紫色又能和NaHCO3反应放出气体的有___________(用A、B、C、D填空)。
(3)按下图C经一步反应可生成E,E是B的同分异构体,则反应①属于____________反应(填反应类型名称),写出反应②的化学方程式______________________。 
(4)同时符合下列两项要求的D的同分异构体有4种
①化合物是1,2一二取代苯; ②苯环上的两个取代基分别为羟基和含有-COO-结构的基团。
其中两种(G和H)结构简式如下图所示,请补充另外两种。
______________、___________________。
(5)写出H与足量NaOH溶液共热反应的化学方程式_____________________。
5、选择题 下列说法中不正确的是
[? ]
A.有机化学作为一门学科萌发于17世纪,创立并成熟于 18、19世纪
B.凡是自然界存在的有机物,运用有机化学方法都可以合成出来;凡是自然界不存在的有机物,不能运用有机化学方法来合成它们
C.有机化学能破译并合成蛋白质,认识并改变遗传分子,从分子水平上揭示生命的奥秘
D.1828年,德国科学家维勒首次在实验室里合成了有机物尿素,使人类从提取有机物进入合成有机物的新时代