时间:2017-11-11 03:27:26
1、选择题 向三支试管中各加入6滴乙酸乙酯,然后向第一支试管中加蒸馏水5.5mL,向第二支试管中加1:5的稀硫酸0.5mL、蒸馏水5.0mL,向第三支试管中加30%的NaOH溶液0.5mL、蒸馏水5.0mL.振荡试管,把三支试管同时放在70℃~80℃的水浴中加热.几分钟后闻三支试管中液体的气味,芳香味最小的是( )
A.第一支试管
B.第二支试管
C.第三支试管
D.都没有气味
参考答案:C
本题解析:
本题难度:简单
2、选择题 西维因是一种高效低毒杀虫剂,在碱性条件下可水解:
有关说法正确的是(?)
A.西维因分子式为C12H10NO2
B.反应后的溶液经酸化,可用FeCl3溶液检验西维因是否已经发生水解
C.1mol西维因最多能与6mol氢气发生加成反应
D.西维因分子中至少有21个原子共平面
参考答案:b
本题解析:略
本题难度:一般
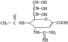
3、选择题 “甲型H1N1”流感疫情已构成“具有国际影响的公共卫生紧急事态”。已知扎那米韦是流感病毒神经氨酸酶抑制剂,其对流感病毒的抑制是以慢结合的方式进行的,具有高度特异性。其分子结构如图:下列说法正确的是
[? ]
A.该物质的分子式为C12H19N4O7
B.在一定条件下,该物质可以发生消去、加成、取代等反应
C.1mol该物质与NaOH溶液反应,可以消耗4mol NaOH
D.该物质能使溴水或高锰酸钾溶液褪色,但不能与FeCl3溶液发生显色反应
参考答案:BD
本题解析:
本题难度:一般
4、选择题 下列有关物质分类中,全部正确的一组是
[? ]
A.CO(NH2)2 (无机物);NH4CNO(有机物); CH2=CHCH3 (脂肪烃)
B.CH3COCH3(醚);
(醇)?;
C.HOCOOH(羧酸) ;CH3OOCCOOCH3(酯) ;
(酚)
D.OHCCH3(醛);
;CCl3F(卤代烃)
参考答案:D
本题解析:
本题难度:简单
5、选择题 某有机物既能使溴水褪色,又能在一定条件下水解生成两种有机物,还能发生加聚反应生成高分子化合物,则此有机物中一定含有下列基团①-CH3②-OH③-Cl④-CHO ⑤-CH=CH2⑥-COOH⑦-COOCH3的组合是
[? ]
A.③⑤
B.②⑥
C.⑤⑦
D.④⑤
参考答案:C
本题解析:
本题难度:简单