时间:2017-11-11 03:23:09
1、推断题 已知:两个羟基同时连在同一碳原子上的结构是不稳定的,它将发生脱水反应:CH3CH(OH)?2→CH3CHO?+H2O 现有分子式为C9H8O2Br2的物质M,已知有机物C的相对分子质量为60,E的化学式为C7H5O2Na在一定条件下可发生下述一系列反应: 
请回答下列问题:
(1)B中官能名称是_____________,A的核磁共振氢谱图有___________个吸收峰。
(2)M的结构简式为?_________?;C的结构简式为?__________?。?
(3)G→H的反应类型是?___________?;H→I的反应类型是____________;
(4)写出下列反应的化学方程式:
①E→?F的化学方程式:______________?;
②H→I的化学方程式:________________。
(5)请写出同时符合下列条件的G的同分异构体的结构简式___________?。(任写一种)
a.分子中含有苯环
b.能发生水解反应
?c.能发生银镜反应?
d.与FeCl3溶液反应显紫色
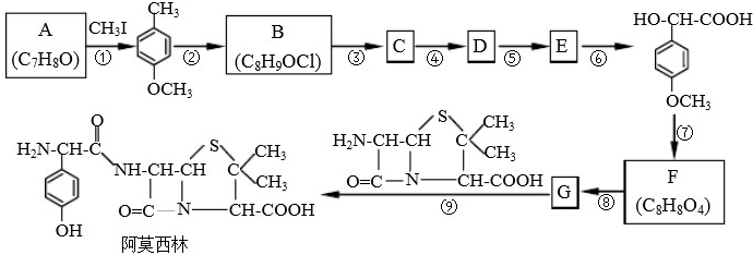
2、简答题 药物阿莫西林能杀灭或抑制细菌繁殖,它的合成路线如下:
已知:
A能使三氯化铁溶液显色.
完成下列填空:
(1)写出A的结构简式:______;CH3I的作用______.
(2)写出反应类型:反应②______,反应⑤______.
(3)G中无氧官能团的名称______.
(4)反应④的化学方程式______.
(5)
同分异构体中,能与氯化铁溶液发生显色反应,且苯环上的一氯代物有两种的有机物有______种;
(6)写出甘氨酸(H2N-CH2-COOH)和G发生缩合生成二肽的结构简式:______.
3、推断题 相对分子质量为92的某芳香烃X是一种重要的有机化工原料,研究部门以它为初始原料设计出如下转化关系图(部分产物、合成路线、反应条件略去)。其中A是一氯代物,H是一种功能高分子,链节组成为C7H5NO。

请根据所学知识与本题所给信息回答下列问题:
(1)H的结构简式是:____________ 91EXAm.org____;
(2)反应②的类型是___________;反应③的生成物中含氮官能团的电子式:__________________________;
(3)反应①的化学方程式是:_______________________;
(4)反应⑤的化学方程式是:____________________________;
(5)
有多种同分异构体,写出2种含有1个醛基和2个羟基的芳香族化合物的结构简式:______________________;
(6)请用合成反应流程图表示出由
和其他无机物合成
最合理的方案(不超过4步)。
例:
。
______________________________
4、推断题 化合物A相对分子质量为86,碳的质量分数为55.8%,氢为7.0%,其余为氧。A的相关反应如下图所示
已知R-CH=CHOH(烯醇)不稳定,很快转化为。 根据以上信息回答下列问题
(1)A的分子式为__________
(2)反应②的化学方程式是____________________________?
(3)A的结构简式是______________
(4)反应①的化学方程式是_________________________?
(5)A有多种同分异构体,写出四个同时满足
(i)能发生水解反应(ii)能使溴的四氯化碳溶液褪色两个条件的同分异构体的结构简式:______________、
______________、______________、______________;
(6)A的另一种同分异构体,其分子中所有碳原子在一条直线上,它的结构简式为______________。
5、填空题 水处理剂能使工业循环冷却系统保持良好状态。以下是两种新型水处理剂的合成方法。
完成下列填空:
(1)写出反应类型。反应①?反应②?。
(2)反应④通常用一种盐和一种酸代替HBr参加反应,它们的名称是?和?。
(3)写出化学方程式。
B与新制氢氧化铜反应生成C?;
反应⑤?。
(4)D转化为E的过程中,E分子中增加的碳原子来源于 ________(写物质的名称)。
(5)写出H的
结构简式?。
(6)E有多种同分异构体,其中能发生银镜反应、能发生缩聚反应,还能两分子生成六元环状化合物的物质的结构简式为?。