时间:2017-11-11 03:23:09
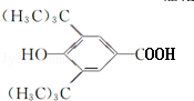
1、填空题  (13分)(2012?山东)[化学﹣有机化学基础]
合成P(一种抗氧化剂)的路线如下:
已知:① (R为烷基);
(R为烷基);
②A和F互为同分异构体,A分子中有三个甲基,F分子中只有一个甲基.
(1)A→B的反应类型为 ? .B经催化加氢生成G(C4H10),G的化学名称是 ? .
(2)A与浓HBr溶液一起共热生成H,H的结构简式为 ? .
(3)实验室中检验C可选择下列试剂中的 ? .
a.盐酸? b.FeCl3溶液
c.NaHCO3溶液? d.浓溴水
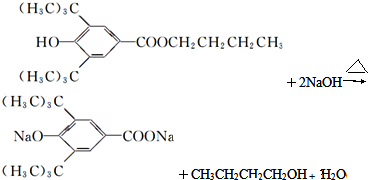
(4)P与足量NaOH溶液反应的化学反应方程式为 ? (有机物用结构简式表示).
参考答案:(1)消去反应;2﹣甲基丙烷;(2) (3)bd(4)
(3)bd(4)
本题解析:A在加热浓硫酸作用下反应生成B,A和B的化学式相差一个H2O,则发生了消去反应,所以A是醇,B是烯烃,B和苯酚反应生成 ,所以B是
,所以B是 ,A分子中有三个甲基,所以A的结构简式为:
,A分子中有三个甲基,所以A的结构简式为: ,
, 反应生成
反应生成 ,
, 和银氨溶液反应生成D,D的结构简式为:
和银氨溶液反应生成D,D的结构简式为: ,酸性条件下,D反应生成E
,酸性条件下,D反应生成E ,A和F互为同分异构体,A分子中有三个甲基,F分子中只有一个甲基,F的结构简式为:CH3CH2CH2CH2OH,E和F发生酯化反应生成P
,A和F互为同分异构体,A分子中有三个甲基,F分子中只有一个甲基,F的结构简式为:CH3CH2CH2CH2OH,E和F发生酯化反应生成P
P的结构简式为: .
.
解:A在加热浓硫酸作用下反应生成B,A和B的化学式相差一个H2O,则发生了消去反应,所以A是醇,B是烯烃,B和苯酚反应生成 ,所以B是
,所以B是 ,A分子中有三个甲基,所以A的结构简式为:
,A分子中有三个甲基,所以A的结构简式为: ,
, 反应生成
反应生成 ,
, 和银氨溶液反应生成D,D的结构简式为:
和银氨溶液反应生成D,D的结构简式为: ,酸性条件下,D反应生成E
,酸性条件下,D反应生成E ,A和F互为同分异构体,A分子中有三个甲基,F分子中只有一个甲基,F的结构简式为:CH3CH2CH2CH2OH,E和F发生酯化反应生成P
,A和F互为同分异构体,A分子中有三个甲基,F分子中只有一个甲基,F的结构简式为:CH3CH2CH2CH2OH,E和F发生酯化反应生成P
P的结构简式为: .
.
(1)在加热、浓硫酸作用下,醇A发生消去反应生成烯烃B,B经催化加氢生成G(C4H10),G的结构简式为:
CH3CH(CH3)CH3,G的化学名称是2﹣甲基丙烷,故答案为:消去反应;2﹣甲基丙烷;
(2)A与浓HBr溶液一起共热发生取代反应生成H,所以H的结构简式为 ,
,
故答案为: ;
;
(3)C是苯酚,溴水能和苯酚生成白色沉淀,氯化铁溶液能和苯酚发生显色反应,盐酸和碳酸氢钠与苯酚不反应,故选bd;
(4)P是酯,酯P和氢氧化钠溶液反应方程式为: ,
,
故答案为: .
.
点评:本题考查了有机物的推断,明确物质含有的官能团及其性质是解本题的关键,结合题给信息进行分析解答,注意(5)题中,除了酯基和氢氧化钠反应外,酚羟基也和氢氧化钠反应,容易遗漏而导致错误.
本题难度:一般
2、填空题  已知化合物A的相对分子质量为182.5,其分子组成可以表示为CxHyOCl.有关转化关系如下所示:
C在一定条件下可发生反应,生成一种高分子化合物E,E的结构简式为
,且E中R′的两个取代基呈对位,已知R、R′为烃基.
请回答以下问题:
(1)A中含有的含氧官能团的名称是______;A的化学式为______;
(2)写出由C生成E的化学反应类型______;
(3)己知含有烃基R的有机物R-OH含氧50%,一种燃料电池以该物质为燃料且电解质溶液为酸性溶液,则该电池的负极反应为:______;
(4)D在浓硫酸、加热的条件下反应生成F(C11H12O2),F在一定条件下可以发生加聚反应,写出该加聚反应的化学方程式:______;
(5)在B的多种同分异构体中,写出分子结构中含有
,且属于酯的同分异构体有______种,写出其中任意一种的结构简式:______.
参考答案:化合物A的相对分子质量为182.5,其分子组成可以表示为CxHyOCl,则12x+y=182.5-16-35.5=131,分子式应为C10H11OCl,结合B能发生银镜反应可知,A中含有-CHO、苯环和-Cl,A在碱性条件下发生水解生成C,题中(3)己知含有烃基R的有机物R-OH含氧50%,说明R-OH应为CH3OH,C和CH3OH发生酯化反应生成D(C11H14O3),又C在一定条件下可发生反应,生成一种高分子化合物E,E的结构简式为
,且E中R′的两个取代基呈对位,根据C+CH3OH=C11H14O3+H2O可知,C的分子式应为C10H12O3,分子中含有1个-COOH和1个-OH,结合E的结构简式可知C为
,则B为
,A为
,则D为
,则
(1)由以上分析可知,A含有的含氧官能团为醛基,分子式为C10H11OCl,故答案为:醛基;C10H11OCl; 
(2)C为
,E的结构简式为
,C生成E发生缩聚反应,
故答案为:缩聚反应;
(3)己知含有烃基R的有机物R-OH含氧50%,说明R-OH应为CH3OH,以该物质为燃料且电解质溶液为酸性溶液,则该电池的负极反应为2CH3OH+2H2O-12e-═12H++2CO2,
故答案为:2CH3OH+2H2O-12e-═12H++2CO2;
(4)D为
,在浓硫酸、加热的条件下反应消去反应生成F(C11H12O2),F为
,发生加聚反应,方程式为
,
故答案为:
;
(5)B为
,分子结构中含有
,且属于酯的同分异构体有
3种,
故答案为:3;
.
本题解析:
本题难度:一般
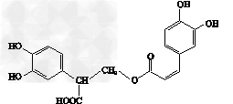
3、推断题  迷迭香酸是酸性物质,其结构如图所示
(1)迷迭香酸在酸性条件下水解生成A、B,A在浓硫酸作用下可发生消去反应生成有机物C,则B、C互为________。A中含有的官能团是________。 
A.同分异构体?B.同系物 C.同素异形体?D.同一物质 
(2)B有如下转化关系:?
已知:D中有四个官能团,且有两个连在同一个碳原子上。 
①E、F的结构简式分别为__________、________________。 
②B→D的反应类型为________。 D→B的化学方程式为_________________。 
③B与浓溴水反应的化学方程式为_________________。 
参考答案:(1)A;(酚、醇)羟基、羧基 
(2)①OHCH=CHCOOH ;OHCH2CH2COOH 
②加成反应 ;HOCH2CHOHCOOH HOCHCHCOOH+H2O
 HOCHCHCOOH+H2O 
③HOCH=CHCOOH+Br2―→ HOCHBr2CHBr2COOH
本题解析:
本题难度:一般
4、填空题  (9分)化合物A是来自石油的一种基本化工原料,用A和水煤气为原料经下列途径合成化合物D(分子式为C3H6O3)。
已知:




请回答下列问题;
⑴、写出有关物质的结构简式:A:?;B:?;C:?;D:?。
⑵、指出反应⑤的反应类型?。
⑶、写出反应③的化学方程式?。
⑷、反应④的目的是?。
参考答案:⑴、CH2=CH2;CH3CH2CHO? CH2=CHCHO? HOH2CCH(OH)CHO?
⑵、氧化反应
⑶、CH3CHBrCHO+NaOH CH2=CHCHO+NaBr+H2O(2分)
CH2=CHCHO+NaBr+H2O(2分)
⑷、防止-CHO在第⑤步被氧化(2分)
本题解析:根据A的来源可知,A是乙烯。根据B和溴单质的产物结构简式可知,B是CH3CH2CHO,即B和单质溴发生的是取代反应。反应③是卤代烃的消去反应,所以C的结构简式为CH2=CHCHO 。根据反应④的产物可知,该反应是醛基的加成反应。根据反应⑤条件及产物的结构简式可知,这是碳碳双键的氧化反应。由于醛基也极易被氧化,因此设计反应④的目的是防止-CHO在第⑤步被氧化。根据已知信息可知,反应⑥的生成物是HOH2CCH(OH)CHO。
本题难度:一般
5、选择题  1mol某气态烃完全燃烧,生成3molCO2和2molH2O,此烃是(  )
A.C3H4
B.C3H6
C.C3H8
D.C4H10
参考答案:A
本题解析:
本题难度:简单