时间:2017-08-26 02:42:22
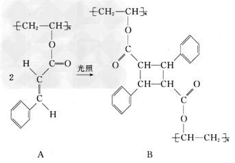
1、填空题 光刻胶是制大规模集成电路、印刷电路板和激光制板技术中的关键材料。某一肉桂酸型光刻胶的主要成分A经光照固化转变为B。 
(1)请指出A中含有的官能团:_______________(填两种)。
(2)A经光照固化转变为B,发生了__________反应(填反应类型)。
(3)写出A与NaOH溶液反应的化学方程式:____________________。
(4)写出B在酸性条件下水解得到的芳香族化合物的分子式:_______________。
2、选择题 某药物结构简式为
1 mol该物质与足量NaOH溶液反应,消耗的NaOH的物质的量为
[? ]
A.3 mol
B.4 mol
C.3n mol
D.4n mol
3、选择题 下列各组试剂中,能鉴别乙醇、己烷、乙烯、乙酸溶液、苯酚溶液等五种无色溶液的是
A.金属钠、FeCl3溶液、NaOH溶液
B.新制Cu(OH)2悬浊液,紫色石蕊试液
C.紫色石蕊液、溴水
D.溴水、新制Cu(OH)2悬浊液
4、选择题 有关下图所示化合物的说法不正确的是 
[? ]
A.既可以与Br2的CC14溶液发生加成反应,又可以在光照下与Br2发生取代反应
B.1mol该化合物最多可以与3mol NaOH反应
C.既可以催化加氢,又可以使酸性KMnO4溶液褪色
D.既可以与FeCl3,溶液发生显色反应,又可以与NaHCO3溶液反应放出CO2气体?
5、选择题 具有显著抗癌活性的10-羟基喜树碱的结构如图所示。下列关于10-羟基喜树碱的说法正确的是 
[? ]
A.分子式为C20H16N2O5
B.不能与FeCl3溶液发生显色反应
C.不能发生酯化反应
D.一定条件下,1mol 该物质最多可与1mol NaOH反应