时间:2017-08-22 16:33:50
1、填空题 下图为某实验小组制取乙酸乙酯的实验装置图,烧瓶中盛有乙醇和浓H2SO4。反应时,将乙酸从分液漏斗滴入烧瓶中即可。
①为方便研究酯化反应的过程,乙醇中的氧原子用18O进行了标记(即C2H518OH),请用氧的同位素示踪法写出乙酸与乙醇发生酯化反应的化学方程式:?。
②装置A的名称是?,使用时要先从?口(填“a”或“b”)进水。
③实验结束后,锥形瓶中收集到乙酸乙酯、乙醇和乙酸的混合液。为了将这三者进行分离,该小组依如下流程进行了进一步的实验:
试剂(a)是?,试剂(b)是?,
分离方法(1)是?,分离方法(2)是?,分离方法(3)是?。
2、选择题 香豆素-4是一种激光染料,用于可调谐染料激光器,其结构简式如图所示,下列有关叙述正确的是
[? ]
A.分子式为C10H9O3
B.不能使酸性KMnO4溶液褪色
C.1mol香豆素-4最多能与含2molNaOH的溶液反应
D.能与溴水发生取代反应、加成反应
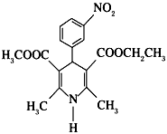
3、选择题 尼群地平片可用于治疗高血压。它的主要成分的结构简式如图所示。下列关于这种化合物的说法中正确的是 
[? ]
A.该物质的分子式为C18H20N2O6
B.该物质可以和银氨溶液发生银镜反应
C.该物质属于芳香族化合物,且1mol该物质能和6mol H2发生加成反应
D.该物质在酸性条件下不发生水解反应
4、选择题 下列物质中,不属于醇类的是
[? ]
A.C4H9OH
B.C6H5CH2OH
C.C6H5OH
D.甘油
5、选择题 尼泊金甲酯可在化妆品中作防腐剂。结构简式为
,下列说法中正确的是
A.在一定条件下,1mol该物质最多能和2mol NaOH反应
B.该物质的分子式为C8H10O3
C.该物质不能够和FeCl3反应
D.该物质属于芳香烃