时间:2017-08-22 16:02:56
1、选择题 具有显著抗癌活性的10 -羟基喜树碱的结构如图所示。下列关于10 -羟基喜树碱的说法正确的是
[? ]
A.分子式为C20 H16 N2?O5
B.不能与FeCl3溶液发生显色反应
C.不能发生酯化反应
D.一定条件下,l mol该物质最多可与1 molNaOH 反应
参考答案:A
本题解析:
本题难度:一般
2、选择题 某种兴奋剂的结构简式如图所示,有关该物质的说法错误的是 
[? ]
A.该有机物的溶液呈弱酸性,加入NaOH溶液能发生电和反应,加入Na2CO3溶液会放出无色气体
B.一定条件下该有机物能发生加成反应、氧化反应、取代反应,也能发生聚合反应
C.该有机物分子中所有的原子不可能在同一平面内
D.该有机物的分子式为C20H24O3
参考答案:A
本题解析:
本题难度:一般
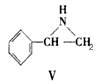
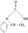
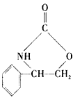
3、填空题 固定和利用CO2能有效地利用资源,并减少空气中的温室气体。CO2与化合物I反应生成化合物Ⅱ,与化合物Ⅲ反应生成化合物Ⅳ,如反应①和②所示(其他试剂、产物及反应条件均省略)。
反应①
反应②
(1)化合物I的分子式为________,1 mol该物质完全燃烧需消耗____ molO2。
(2)由
通过消去反应制备I的化学方程式为____________________(注明反应条件)。
(3)Ⅱ与过量C2H5OH在酸催化下发生酯化反应,生成的有机物的结构简式为________________。
(4)在一定条件下,化合物V能与CO2发生类似反应②的反应,生成两种化合物(互为同分异构体),请写出其中任意一种化合物的结构简式:____________________。 
(5)与CO2类似,CO也能被固定和利用。在一定条件下,CO、
和H2三者发生反应(苯环不参与反应),生成化合物Ⅵ和Ⅶ,其分子式均为C9H8O,且都能发生银镜反应。下列关于Ⅵ和Ⅶ的说法正确的有____(双选,填字母)。
A.都属于芳香烃衍生物
B.都能使溴的四氯化碳溶液褪色
C.都能与Na反应放出H2
D.1 molⅥ或Ⅶ最多能与4 molH2发生加成反应
参考答案:(1)C8H8;10 (2)
(3)
(4)
(或
)
(5)AB
本题解析:
本题难度:一般
4、选择题 向平衡
中加入CH3CH218OH,则平衡时,含有18O的物质的种类是
A.1种
B.2种
C.3种
D.4种
参考答案:B
本题解析:酯化反应的规律是酸脱—OH,醇脱—H,且酯化反应是可逆反应,所以平衡时,含有18O的物质为乙酸乙酯,和CH3CH218OH两种物质;
本题难度:一般
5、选择题 2005年11月13日中国石油吉林石化公司双苯厂发生爆炸事故,大量硝基苯泄漏,引起松花江水污染,安全生产和环保问题再次引起人们的关注。下列关于硝基苯的叙述正确的是?
[? ]
A.硝基苯是一种油状物质,会浮在水面上
B.实验室制硝基苯需要用水浴加热
C.硝基苯中毒是由蒸气吸入或误食引起,与皮肤接触不会引起中毒
D.硝基苯可由苯甲酸和硝酸直接反应制得
参考答案:B
本题解析:
本题难度:一般