时间:2017-08-22 15:25:01
1、选择题 实验室用右图所示的装置制取乙酸乙酯,下列说法正确的是?(?)
?
A.试管a中先加入浓硫酸,再加入适量的乙醇和冰醋酸,然后加热
B.试管b中加入氢氧化钠溶液除去乙酸乙酯中少量的乙酸和乙醇
C.及时将乙酸乙酯蒸出,平衡向生成乙酸乙酯的方向移动
D.用
与乙酸反应制取酸乙酸乙酯,
存在于水中
2、选择题 霉酚酸酯(MMF)是器官移植中的抑制细胞增殖最常见的药物。下列关于MMF的说法错误的是
[? ]
A.MMF不易溶于水
B.MMF能发生消去反应
C.1molMMF能与6mol氢气发生加成反应
D.1molMMF能与3molNaOH溶液完全反应
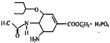
3、选择题 有研究发现,奥司他韦可以有效治疗H1N1流感,奥司他韦分子式为
,分子结构如图。下列有关奥司他韦的说法中正确的是
[? ]
A.只含极性键,易溶于水,其水溶液有丁达尔反应
B.分子中含有酯基、氨基、苯环等官能团
C.1mol 该物质最多能与3mol 反应
D.可以发生加成、取代、氧化反应
4、选择题 阿魏酸在食品、医药等方面有着广泛用途。一种合成阿魏酸的反应可表示如下,下列说法中正确的是
+

+H2O+CO2
[? ]
A.可用酸性KMnO4溶液检测上述反应是否有阿魏酸生成
B.香兰素、阿魏酸均可与Na2CO3、NaOH 反应
C.通常条件下,香兰素、阿魏酸都能发生取代、加成、消去反应
D.与香兰素互为同分异构体,分子中有4 种不同化学环境的氢,且能发生银镜反应的酚类化合物有2 种
5、选择题 阿司匹林是一种常见的解热镇痛药,其结构简式为
。根据其结构推断,其可能有的性质为
[? ]
A.该物质能与浓溴水发生取代反应
B.该物质能发生酯化反应
C.该物质属于蛋白质
D.该物质极易溶于水和有机溶剂