时间:2017-08-22 15:25:01
1、选择题 在3支试管中分别放有:①1mL乙酸乙酯和3mL水?②1mL溴苯和3mL水?③1mL乙酸和3mL水。图中三支试管从左到右所盛物质的顺序为 
A.?①②③ ?
B. ①③② ?
C.?②①③ ?
D. ②③①
参考答案:D
本题解析:
本题难度:简单
2、选择题 鸦片具有复杂的组成,其中的罂粟碱分子结构如下:
鸦片最早用于药物(有止痛、止泻、止咳作用),长期服用会成瘾,使人体体质衰弱,精神颓废,寿命缩短,1 mol该化合物完全燃烧的耗氧量及在一定条件下与Br2发生苯环上取代反应生成的一溴代物同分异构体种数分别是
A.26.5 mol,8
B.24.5 mol,10
C.24.5 mol,8
D.26.5 mol,6
参考答案:C
本题解析:略
本题难度:一般
3、选择题 花青苷是引起花果呈现颜色的一种花色素,广泛存在于植物中。它的主要结构在不同pH条件下有以下存在形式:?下列有关花青苷说法不正确的是
[? ]
A.花青苷可作为一种酸碱指示剂?
B.I和II中均含有二个苯环
C.I和II中除了葡萄糖基外,所有碳原子可能共平面
D.I和II均能与FeCl3溶液发生显色反应
参考答案:B
本题解析:
本题难度:一般
4、选择题 某药物结构简式如下图所示,该物质1 mol与足量NaOH溶液反应,消耗NaOH的物质的量为(?)
A.n mol
B.2n mol
C.3n mol
D.4n mol
参考答案:D
本题解析:此高聚物属于酯类物质,能发生水解反应,水解生成的醇不能与NaOH反应,水解后生成的羧酸和酚类物质都能与NaOH反应生成对应的羧酸钠和酚钠。选D项。
本题难度:简单
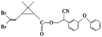
5、选择题 拟除虫菊酯是一类高效、低毒、对昆虫具有强烈触杀作用的杀虫剂,其中对光稳定的溴氰酯的结构简式如图所示:
下列对该化合物的叙述正确的是 
[? ?]
A.属于芳香烃
B.属于卤代烃
C.在酸性条件下不可以水解
D.在一定条件下可以发生加成反应
参考答案:D
本题解析:
本题难度:简单