时间:2017-08-22 14:58:03
1、填空题 氮气与氢气反应生成氨气的平衡常数见下表:
| ? | N2+3H2 2NH3 | |||
| 温度 | 25℃ | 200℃ | 400℃ | 600℃ |
| 平衡常数K | 5×108 | 650 | 0.507 | 0.01 |
参考答案:(1)催化剂的活性温度且反应速率较快(2分);
(2)0.2 mol/(L·min)(2分);
(3)AB(2分);
(4)B(2分)?(5)AD(2分);?(6)AC(2分)
本题解析:(1)工业上合成氨的温度一般控制在500℃,原因主要是从反应的速率角度来考虑的,因为催化剂的活性温度且反应速率较快。
(2)N2+3H2
2NH3,设反应后氮气的物质的量为x,则氮气转化了1-x,氢气剩余3-(1-x),氨气生成2(1-x),根据压强之比和物质的量成正比,可得关系式4:【1-x+3-(1-x)+2(1-x)】=1:0.8。最终求得氨气的反应速率为0.2 mol/(L·min)。
(3)合成氨气的反应,若没有达到平衡,反应前后平均分子质量始终发生变化,密闭容器内的压强也发生变化,而密度始终没有改变,故选AB。而C中v (N2) =" 2" v (NH3) 没有说明反应的方向,无法做为判据。
(4)使用催化剂能加快速率但不能改变转化率,A错误;缩小容器体积两者都能实现,B正确;提高反应温度能加快速率但转化率降低,C错误;移走NH3浓度降低,速率降低转化率增大,D错误
(5)根据氨水中存在的电离平衡可知,加入一定量的氯化铵晶体,增大了c(NH4+),平衡右移,溶液的pH减小, A错误;氨水的电离度减小,B正确; c(OH-)减小,C正确;c(NH4+)减大, D错误。
(6)将氨水与盐酸等浓度等体积混合,反应后生成氯化铵,此时溶液中存在NH4+的水解平衡,加入固体氯化铵,增大了铵根浓度,抑制了其水解,比值增大, A正确。通入少量氯化氢,氯离子增大程度大于铵根的增大程度,B错误。降低溶液温度,抑制其水解,铵根浓度增大, C正确。加入少量固体氢氧化钠,铵根浓度减小,D错误。
本题难度:一般
2、选择题 在容积一定的密闭容器中,进行可逆反应N2(g)+3H2(g)
2NH3(g)? ΔH<0,有图Ⅰ、Ⅱ所示的反应曲线(T表示温度,P表示压强,C%表示NH3的体积分数),下列说法中不正确的是
A.T2<T1
B.P2>P1
C.若P3<P4,y轴表示N2的转化率
D.若P3>P4,y轴表示NH3的体积分数
参考答案:C
本题解析:A、根据图1可知,在压强均为P2的条件下,温度为T1的曲线首先达到平衡状态,这说明温度为T1时反应速率快,达到平衡的时间少。温度高反应速率快,所以温度是T2<T1,A正确;B、碳氧根据图1可知,在温度均T1的条件下,压强为P2的首先达到平衡状态,这说明压强为P2时反应速率快,达到平衡的时间少。压强大反应速率快,所以压强是P2>P1,B正确;C、该反应是体积减小的可逆反应,增大压强反应物的转化率增大。若P3<P4,则压强为P4时的转化率大于压强P3时的转化率,C不正确;D、增大压强平衡向正反应方向移动,氨气的体积分数增大,所以若P3>P4,y轴可以表示NH3的体积分数,D正确,答案选C。
本题难度:简单
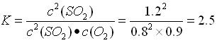
3、计算题 (7分)一定温度下,物质的量浓度分别为2mol/L和1.5mol/L的SO2(g)和O2(g)在密闭容器中发生反应:2SO2(g)+ O2(g)
2SO3(g),4min后反应达到平衡状态,测得容器中SO2(g)的转化率为60%,试求,在该温度下:
(1)用SO2表示的平均反应速率;
(2)平衡时O2的转化率;
(3)此反应的平衡常数。
参考答案:
本题解析:(共7分)由题可知,SO2的变化浓度为2mol·L-1×60%=1.2mol·L-1,则O2和SO3的变化浓度分别为0.6mol·L-1和1.2mol·L-1,则:
2SO2(g) +? O2(g)
2SO3(g)
起始时各物质浓度/mol·L-1? 2? 1.5? 0
各物质变化浓度/mol·L-1? 1.2? 0.6? 1.2?
平衡时各物质浓度/mol·L-1? 0.8? 0.9? 1.2?(1分)
(1)v(SO2)=1.2mol·L-1÷4min=0.3 mol·L-1·min-1?
?(2分)
(2)O2的转化率为0.6mol·L-1÷1.5mol·L-1×100%="40%?" (2分)
(3)
(2分)
本题难度:一般
4、填空题 (17分)甲醇是一种可再生能源,具有开发和应用的广阔前景,工业上采用如下反应合成甲醇:
CO(g)+2H2(g)
CH3OH(g),现模拟并分析该反应:
(1)能够说明该反应已达到平衡的是_________:
a.恒温、恒容时,容器内的压强不再变化
b.恒温、恒容时,容器内混合气体的密度不再变化
c.一定条件下,CO、H2和CH3OH的浓度保持不变
d.一定条件下,单位时间内消耗2molH2的同时生成1 mol CH3OH
(2)右图是该反应在不同温度下CO转化率随时间的变化曲线:
①该反应的△H____0(填“>”、“<”或“=”)。
②T1和T2温度下的平衡常数:K1____K2(填“>”、“<”或“=”)。
(3)2009年,长春应用化学研究所在甲醇燃料电池技术上获得新突破,原理如图1所示。
①甲醇完全燃烧的化学方程式_______________________。
②请写出从C口通入O2发生的电极反应式___________________。
(4)用上述电池做电源,用图2装置电解饱和食盐水(C1、C2均为石墨电极)。
①该反应的离子方程式________________________。
②电解开始后在电极__________________的周围(填“C1”或“C2”)先出现红色。
参考答案:(1)ac(4分(4分,选一个对得2分,一对一错不得分):
(2)①<(2分)?②>(2分)
(3)①2CH3OH+3O2
2CO2+4H2O(2分);②O2+4e-+4H+=2H2O(2分)
(4)2Cl-+2H2O
Cl2↑+H2↑+2OH-(3分)? C2?(2分)
本题解析:(1)在一定条件下,当可逆反应的正反应速率和逆反应速率相等时(但不为0),反应体系中各种物质的浓度或含量不再发生变化的状态,称为化学平衡状态,所以c正确。根据方程式可知,反应是体积减小的,因此压强也是减小的,所以a也能说明达到平衡状态。密度是混合气的质量和容器容积的比值,在反应过程中质量和容积始终是不变的,b不正确。D中反应速率的方向是相同的,不正确。答案选ac。
(2)①根据图像可知,温度为t2的曲线首先达到平衡状态,说明反应速率快,因此t2大于t1。温度高,CO的转化率低,说明升高温度,平衡向逆反应方向移动,因此正反应是放热反应,即△H<0。
②升高温度,平衡向逆反应方向移动,因此平衡常数减小,即K1>K2。
(3)①甲醇完全燃烧的生成物是水和CO2。所以方程式为2CH3OH+3O2
2CO2+4H2O。
②氧气在反应中得到电子,因此在正极通入,又因为氢离子向正极移动,所以正极电极反应式为O2+4e-+4H+=2H2O。
(4)惰性电极电解饱和食盐水时,阳极是氯离子放电,产生氯气。阴极是氢离子放电,产生氢气,因此阴极周围水的电离平衡被破坏,溶液显碱性,显红色。由于C2和电源的负极相连,所以
C2是阴极,该电极周围溶液显红色。该反应的方程式为2Cl-+2H2O
Cl2↑+H2↑+2OH-。
本题难度:一般
5、填空题 合成氨工业的核心反应是:N2(g)+3H2(g)
2NH3(g) ΔH=Q kJ·mol-1,能量变化如下图,回答下列问题:
(1)在反应体系中加入催化剂,反应速率增大,E1和E2的变化是:E1________,E2________(填“增大”、“减小”或“不变”)。
(2)在500℃、2×107Pa和催化剂条件下向一密闭容器中充入0.5 mol N2和1.5 mol H2,充分反应后,放出的热量________ 46.2 kJ(填“<”、“>”或“=”)。
(3)关于该反应的下列说法中,正确的是________。
A.ΔH>0,ΔS>0? B.ΔH>0,ΔS<0
C.ΔH<0,ΔS>0?D.ΔH<0,ΔS<0
(4)将一定量的N2(g)和H2(g)放入1 L密闭容器中,在500℃、2×107Pa下达到平衡,测得N2为0.10 mol,H2为0.30 mol,NH3为0.10 mol。计算该条件下达到平衡时H2转化为NH3的转化率________。若升高温度,K值变化________(填“增大”、“减小”或“不变”)。
(5)在上述(4)反应条件的密闭容器中,欲提高合成氨中H2的转化率,下列措施可行的是________(填字母)。
A.向容器中按原比例再充入原料气
B.向容器中再充入惰性气体
C.改变反应的催化剂
D.分离出氨气
参考答案:(1)减小 减小 (2)< (3)D (4)33.3% 减小 (5)A、D
本题解析:(1)在反应体系中加入催化剂,降低了反应的活化能,即E1减小,E2减小,反应热不变。
(2)由图像可知N2(g)+3H2(g)?2NH3(g) ΔH=-92.4 kJ·mol-1,使用催化剂,加快了反应速率,但平衡并不移动,平衡转化率不变,上述反应仍不能进行彻底,故0.5 mol N2和1.5 mol H2充分反应后放出的热量应小于46.2 kJ。
(3)由图可知ΔH<0,根据反应方程式可知气体的物质的量减小,ΔS<0。
(4)? N2(g)+3H2(g)?2NH3(g)
起始:? m ?n?0
转化:? x?3x ?2x
平衡:? m-x? n-3x?2x
根据题意m-x=0.1 mol n-3x=0.3 mol 2x=0.1 mol
故x=0.05 mol m=0.15 mol n=0.45 mol
α(H2)=
=
×100%=33.3%。
ΔH<0,升温,平衡左移,K值减小。
(5)欲提高H2的转化率应使平衡右移,向容器中按原比例再充入原料气,相当于增大压强,平衡右移,A可行,B中充惰性气体对平衡无影响,C中改变催化剂不改变平衡移动,D中分离出氨气,平衡右移,方法可行,故选A、D。
本题难度:一般